Yöneylem Araştırmasına Giriş
Üretimde kullanılan bir makinada, her bir A ürünü 1,5 saat ve her bir B ürünü 2 saat işlem görmektedir. Söz konusu makinanın haftalık elverişli çalışma süresi 80 saattir. Buna göre, makine için üretim süresi kısıtı nedir?
Haftalık makine çalışma süresi 80 saat olduğundan, üretim süre kısıttı:
1,5XA+2XB ≤ 80
şeklinde yazılır.
Üretimde kullanılan paketleme makinasında, her bir K ürünü 30 dakika ve her bir L ürünü 50 dakika işlem görmektedir. Söz konusu makinanın günlük elverişli çalışma süresi 8 saattir. Buna göre, makine için üretim süresi kısıtı nedir?
Makine elverişli süresi 8 Saat * 60 dakika = 480 dakika/ gün olduğundan, üretim süresi kısıttı:
30XK+50XL ≤ 480
şeklinde yazılır
Bir üretim işletmesinde yeni alınacak makinalar için 80 milyon TL kaynak ayrılmıştır. Aynı işi yapabilen, A, B ve C diye üç tip makine satın alınması ürerinde durulmaktadır. A makine fiyatı 5 milyonTL/adet, B makine fiyatı 8 milyonTL /adet ve C makine fiyatı 13 milyonTL/adet tir. Buna göre yatırım kısıttı nedir?
Yatırım kısıttı;
5XA+8XB+13XC ≤ 80
şeklinde yazılır.
Bir üretim işletmesinde yeni alınacak makinalar için 80 milyonTL kaynak ayrılmıştır. Aynı işi yapabilen, A, B ve C diye üç tip makine satın alınması ürerinde durulmaktadır. A makine fiyatı 5 milyonTL/adet, B makine fiyatı 8 milyonTL /adet ve C makine fiyatı 13 milyonTL/adettir. Ayrılan kaynağın tamamının harcanacaktır. Buna göre yatırım kısıttı nedir?
Yatırım kısıttı, ayrılan kaynağın tamamının harcanması koşulu olduğu için;
5XA+8XB+13XC =80
şeklinde yazılır.
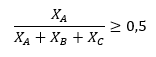
Bir üretim işletmesinde, aynı işi yapabilen, A, B ve C diye üç tip makine satın alınması ürerinde durulmaktadır. Alınacak makinelerin en az yarısının A tipi makineden olması istenmektedir. Bunu sağlayacak kısıt nedir?
En az yarısı A tipi makinden olma koşulu,

şeklinde yazılır.
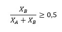
Bir üretim işletmesinde, aynı işi yapabilen, A ve B diye iki tip makine satın alınması ürerinde durulmaktadır. Alınacak makinelerin en az yarısının B tipi makineden olması istenmektedir. Bunu sağlayacak kısıt nedir?
Alınacak makinelerin en az yarısı B tipi olması kıttı;

şeklinde yazılır
Bir üretim işletmesinde, aynı işi yapabilen, A, B ve C diye üç tip makine satın alınması ürerinde durulmaktadır. Alınacak makinelerim en faz 5 tanesinin C tipi makineden olması istenmektedir. Bunu sağlayacak kısıt nedir?
C makinesi en fazla 5 adet olabilir kısıttı;
XC ≤5
şeklinde yazılır
Bir üretim işletmesinde, aynı işi yapabilen, A, B ve C diye üç tip makine satın alınması ürerinde durulmaktadır. A ve B makineleri için ayrılan yere en fazla 18 makine sığmaktadır. Bunu sağlayacak kısıt nedir?
İki makine için ayrılan yer en fazla 18 adet makine için yeterlidir kısıttı;
XA+XB ≤ 18
şeklinde yazılır.
Bir üretim işletmesinde, aynı işi yapabilen, A, B ve C diye üç tip makine satın alınması ürerinde durulmaktadır. Her bir A tipi makinenin 2m2, her bir B tipi makinenin 4m2 ve her bir C tipi makinenin 5m2 yere ihtiyacı vardır. Makinelerin kurulumu için ayrılan yer 210m2 dir. Bunu sağlayacak kısıt nedir?
Makinelerin yerleşim alanı kısıttı;
2XA+4XB+5XC ≤ 210
şeklinde yazılır.
Yöneylem Araştırmasının (YA), bir bilim dalı
olarak ilk defa ne zaman kabul edilmiştir?
Yöneylem Araştırmasının (YA), bir bilim dalı olarak ilk defa İkinci Dünya Savaşı yıllarında sistemli bir şekilde uygulandığı fikri kesinlik kazanmıştır. Savaş esnasında, sınırlı kaynakların çeşitli askerî operasyonlarda etkin bir şekilde kullanılması probleminin çözülmesi için önce İngiliz, daha sonra ABD yönetimi tarafından çok sayıda bilim insanı bir araya getirilmiştir
YA, bir bilim dalı olarak sistemli bir şekilde
İkinci Dünya Savaşı’ndan sonra gelişmeye başlasa
da daha önce önerilen matematiksel modeller nedir?
YA, bir bilim dalı olarak sistemli bir şekilde İkinci Dünya Savaşı’ndan sonra gelişmeye başlasa
da daha önce de bazı problemlerin çözümlenmesi için sade sayılabilecek matematiksel modeller önerilmişti. 1937 yılında Von Neyman, 1939 yılında ise Kantoroviç tarafından, ekonomi problemlerinin çözümlenmesi için doğrusal matematiksel modeller önerilmiştir
1947 yılında George Dantzig tarafından bulunan YA dalındaki çok
önemli bulgu nedir?
1947 yılında George Dantzig, YA dalında çok önemli bulgu olan, doğrusal programlama problemlerinin çözümü için “simpleks yöntemi” geliştirdi.
Uluslararası Yöneylem Araştırması Toplulukları
Federasyonun kısa adı nedir?
Uluslararası Yöneylem Araştırması Toplulukları
Federasyonun kısa adı: IFORS 'dur.
Yöneylem Araştırması problemlerini çözmek için, günümüzde kullanılan bilgisayar yazılım
paketleri(paket programlar) nelerdir?
Yöneylem Araştırması problemlerini çözmek için, günümüzde kullanılan bilgisayar yazılım paketleri(paket programlar): ASPE, LİNDO, LİNGO, CPLEX, GAMS
Bir bilim dalı olarak Yöneylem Araştırması tanımı nedir?
Yöneylem Araştırması: eldeki kısıtlı kaynakların, var olan kıstaslar gözetilerek belirlenen amaçlara ulaşılması veya verimliliğin artırılması için gerekli bilimsek eylemlerin araştırılması ve uygulanması bilimidir.
Yöneylem Araştırmasını bir bilim dalı olarak itibarlı kılan en önemli faktör nedir?
Yöneylem Araştırması çatısı altında öğrenilen problemler için de benimsenmiş olan araştırma yöntemi, öncelikle bu problemlerin, mümkünse problemi birebir yansıtan bir matematiksel modelinin oluşturulması ve daha sonra bu modelin mümkün olan en iyi çözümünün bulunmaya çalışılması.
Atama probleminin tanımı nedir?
Atama problemleri: bir planlama periyodunda yapılması planlanan işleri, farklı fiyat veya verimlilik göstergesi ile yapabilecek farklı kişilere veya şirketlere, toplam verimliliği en büyükleyecek (veya toplam yapılma maliyetini en küçükleyecek) atamanın gerçekleştirilmesi problemi olarak tanımlanmaktadır
En kısa yol problemi tanımı nedir?
En kısa yol problemi, bir yerden bir başka yere gidilebilecek çok sayıda yol seçeneği içinden en kısasının nasıl seçilmesi gerektiği ile ilgili bir problemdir.
Tamsayılı programlama neden kullanılır?
Doğası itibarıyla bu problemlerin modellenmesinde kullanılan karar değişkenleri sadece tam sayı değerleri alabilmektedir.
ATLAS işletmesi iki tip bilgisayar “çip”i üretmektedir. İşletme aylık üretim çizelgesi yapmayı planlamaktadır.
A çipinin birim üretim maliyeti 60TL, satış fiyatı 90 TL’ dır.
B çipinin birim üretim maliyeti 50TL, satış fiyatı 60 TL’ dir.
Söz konusu işletme için kurulacak üretim modelinin, karı en büyükleyecek amaç fonksiyonu nedir?
Net kar A çipi için: 90 - 60 = 30 TL
Net kar B çipi için: 60 - 50 = 10 TL
Amaç fonsiyonu:
Enb Z = 30XA+10XB
şeklinde yazılır