Hidrolik Enerji
Hidroelektrik santral (HES) nasıl tanımlanabilir?
Hidroelektrik santral (HES) akan suyun gücünü elektriğe dönüştüren sistemlerdir.
Türkiye'de elektrik tüketiminin ne kadarı hidroelektrik enerjiden karşılanmaktadır?
Ülkemizde 2013 yılındaki verilere göre, elektrik üretimimizin, %25’i hidroelektrik enerjiden elde edilmiştir.
Hidroelektrik santrallerinin avantajları nelerdir?
Hidroelektrik santrallerinin avantajları şunlardır:
- Hidroelektrik santraller kaynak olarak yenilenebilir olan suyu kullanırlar.
- Herhangi bir yakıtın yanması söz konusu olmadığından, sera gazı emisyonu yaratmazlar.
- Ülkelerin sahip olduğu kaynaklarla kurulabilirler. Bu nedenle enerjide dışa bağımlılığı azaltır.
- Teknik ömürleri uzundur.
- Çevreye zararlı atık üretmezler.
- Elektriği sabit bir oranda üretebilirler.
- Enerjiye ihtiyaç olmadığında su kaynaklarını kapatabilir. Elektrik ihtiyacına göre tekrar devreye sokulabilir.
- Fazla enerji ihtiyacı olan zamanlarda hızla devreye girerek enerji üretilebilir.
Hidroelektrik santrallerinin dezavantajları nelerdir?
Hidroelektrik santrallerinin dezavantajları şunlardır:
- Yatırım maliyeti yüksek ve toplam inşaat süresi uzundur.
- Kuraklık durumunda, su kaynağının azalması elektrik üretimini azaltabilir.
- Tarıma elverişli araziler baraj gölü altında kalabilir.
- Barajlarda taşkın olması durumunda çevresinde sel oluşumu söz konusudur.
- Suyun doğal akışının değiştirilmesi sucul canlıların yok olmasına neden olabilir.
Genel olarak hidroelektrik santrallerde (HES) enerji üretimi nasıl gerçekleştirilmektedir?
Hidroelektrik santrallerde (HES) suyun sahip olduğu mekanik enerji HES türbinlerinde elektrik enerjisine dönüştürülür. Sudaki enerji miktarı, suyun akış hızına ve suyun düşüş yüksekliğine (Hidrolik düşü) bağlıdır. Belli yüksekteki su potansiyel enerjiye sahiptir. Su bir cebri boru veya kanal yardımıyla yüksek bir yerden alınarak türbine verilir. Suyun yüksekteki potansiyel enerjisi türbinleri döndürerek kinetik enerjiye çevrilir, daha sonra da türbin pervanelerine bağlı jeneratör, motorun dönmesi ile elektrik enerjisine çevrilir.
Hidroelektrik santralinin bileşenleri nelerdir?
Depolamalı tipik bir hidroelektrik santrali baraj gövdesi ve gölü, su alma, dolu ve dip savaklar, su yolları, su iletim yapıları, denge bacası, türbin ve jeneratör, santral çıkış suyu kanalı ve şalt tesislerinden oluşmaktadır.
HES bileşenlerinden baraj gövdesi ve gölü hangi amaçla kullanılmaktadır?
Baraj gövdesi ve gölü akarsuyun depolanması ve su yüksekliğinin sağlanması için kullanılır. Elektrik üretim amacıyla kurulan barajlar depoladıkları suyu yıl boyunca düzenli bir şekilde türbinlere gönderirler.
HES bileşenlerinden su yolu yapıları nelerden oluşmaktadır?
Suyun kaynaktan alınarak türbinlere kadar iletildiği su alma yapısı, su iletim kanalı, su iletim tüneli denge bacası, savaklar, enerji tüneli (basınçlı tünel), cebri boru gibi suyun geçtiği yollara “su yolları” ve bu su yolları üzerinde bulunan hidromekanik donanıma ise “su yolları donanımı” adı verilir.
Su alma yapıları nelerdir?
Baraj gölündeki veya nehir yatağındaki suyun su iletim tesislerine alınmasını ve gerektiğinde suyun kapatılmasını sağlayan bölümdür. Su alma yapıları, su alınacak yerin nehir veya rezervuar (baraj) olacağına göre değişik özellikler gösterse de bir su alma yapısı, bağlandığı iletim yapısına (iletim kanalı, enerji tüneli veya cebri boru) gerekli suyu kontrollü olarak, sediment (kum, çakıl vb.) ve yüzer hâldeki maddelerden (kütük, tomruk vb.) arındırarak verebilmelidir. Bunu sağlamak için yapısında çeşitli ızgaralar, kapaklar bulundurur.
HES bileşenlerinden savakların kullanım amacı nedir?
Savaklar, baraj gölünde suyun belli bir seviyeden fazla yükselmesini önlemek amacıyla kullanılır.
Savaklar baraj gölünde kullanıldıkları yere göre kaça ayrılmaktadır?
Savaklar baraj gölünde kullanıldıkları yere göre ikiye ayrılmaktadır:
- Dolu savak, baraj rezervuarında toplanan su hacminin depolama kapasitesini aşması durumunda, fazla suların baraja zarar vermeden aşağıya aktarılmasını sağlayan yapıdır.
- Dip savak ise gerektiğinde baraj gölünü tamamen boşaltmak, dolu savak debisini azaltmak için kullanılan yapıdır.
Denge bacaları nedir?
Baraj rezervuarı ile türbinlerin arasında bulunan basınçlı su iletim hattında basınç değişimlerini önlemek amacıyla genellikle enerji tüneli sonunda ve santral binasından önce kurulan büyük su depolarıdır.
HES bileşenlerinden su iletim yapıları nelerden oluşmaktadır?
Barajdan su alma yapısıyla alınan suyun türbinlere iletilmesini sağlayan kanal, tünel, boru hattı veya bunların kombinasyonlarından meydana gelen yapılardır. İletim hatları basınçlı veya serbest akımlı olabilir.
Cebri boru nedir?
Cebri borular açık yüzeyde bulunan suyun (baraj veya denge bacası) türbine iletilmesinde kullanılan basınçlı borulardır. Genellikle çelik veya betondan yapılırlar. Cebri boruların çapları ve kalınlıkları su basıncına göre değişir.
Santral binası nedir?
İçinde türbin, jeneratör ve yardımcıları ile kontrol-kumanda gibi elektrik ve diğer yardımcı donanımların bulunduğu özel bir binadır.
Şalt bölgesi nedir?
Transformatörlerde oluşan yüksek gerilimin elektrik iletim hatlarına bağlandığı bölgedir.
Santral çıkış suyu kanalı (kuyruk suyu) nedir?
Türbinlerden çıkan suyun nehir yatağına iletimini sağlayan bir yapıdır.
Hidrolik türbinler, temel olarak nelerden oluşur?
Hidrolik türbinler bir hidroelektrik santralinin en önemli parçasıdır. Suyun hidrolik enerjisini devamlı olarak döner çarklar (rotorlar) yardımı ile mekanik enerjiye çeviren makinalardır. Basit olarak bir şaft (mil) ve şaft üzerindeki kanatçıklardan oluşurlar.
Su akışının yönüne göre türbin çeşitleri nelerdir?
Su türbinlere farklı yollarla girebilir. Su akışının yönüne göre türbin çeşitleri eksenel, radyal, karışık akış ve çapraz akış olarak dört grupta toplanabilir.
Suyun basıncına (hidrolik düşüne) göre türbin çeşitleri nelerdir?
Türbinler suyun basıncına (hidrolik düşüne) göre de aksiyon (itici güç, etki veya impuls) ve reaksiyon (tepki) türbinleri olarak ikiye ayrılır.
Aksiyon türbinlerin genel özellikleri nelerdir?
Bu tip türbinlerde su daralan bir boru sistemi olan püskürtücüden geçirilir ve su jeti oluşturarak hız kazanır. Burada potansiyel enerji kinetik enerjiye dönüşür. Suyun kinetik enerjisi suyun türbin kanatlarına çarpması sonucu türbine aktarılır. Aksiyon türbinlerin en tipik örneği Pelton türbinleridir.
Pelton türbinin genel özellikleri nelerdir?
Pelton tipi hidrolik türbinlerde, su bir püskürtücü iğnesinden (nozzle) geçirilerek su jeti hâline getirilir ve türbinin kap şeklindeki rotor kanatlarına püskürtülür. Su jetlerinin sayısı değiştirilerek debi ve güç ayarı yapılabilir. Küçük ve orta güçlü Pelton tipi hidrolik türbinler yatay eksenli ve tek veya iki püskürtücülü, büyük güçlü türbinler ise düşey eksenli ve 4 veya 6 adet püskürtücülüdür. Çok püskürtücülü Pelton türbinlerinde bazı püskürtücü girişleri kapatılarak tek püskürtücülü türbinlerde ise püskürtücünün kesiti değiştirilerek debi ayarını yapmak mümkündür. Bu özellikleri bu tip türbinlerin çok geniş bir hidrolik düşü (60 m-1000 m) ve güç (2 kW-100 000 kW) arasında
çalışabilmesine olanak sağlamaktadır.
Reaksiyon tipi türbinlerin genel özellikleri nelerdir?
Reaksiyon türbinleri basıncın ve hareketli suyun etkisiyle kombine olarak elde edilen güçle çalışırlar. Yani suyun hem kinetik hem de potansiyel enerjisinden yararlanırlar. Türbin çarkına girişteki basınç çıkıştaki basınçtan çok daha büyüktür. Bu nedenle suyun kapalı kanallar içinden akması gerekir. Reaksiyon türbinleri aynı düşü ve debi değerinde aksiyon türbinlerinden daha hızlı döner. Francis, Uskur ya da Kaplan türbinleri reaksiyon türbinlerine örneklerdir.
Francis türbinin genel özellikleri nelerdir?
Francis türbinleri küçük düşülerde yüksek hızlar elde edilebilen radyal tip reaksiyon türbinleridir. Türbin ayarlanabilir yöneltici kanatlar, dönel çark ve emme borusundan meydana gelir. Su salyangoz şeklindeki girişten geçerek teğetsel olarak türbin çarklarına çarpar ve çarkın dönmesini sağlar. Türbin, yüksek basınçlı su girişi ile düşük basınçlı su çıkışı arasında bulunur. Genellikle barajların temellerine kurulur. Francis türbinler 20 m’den 700 m’ye değişen hidrolik düş aralığında çalışabilir veya birkaç kW güçten bir GW güce kadar çok farklı güç üretimi için kullanılabilir.
Kaplan türbinin genel özellikleri nelerdir?
Reaksiyon türbini sınıfında olan Kaplan türbinlerde de suyun girişi ve çıkışı arasında basınç farkı bulunmaktadır. Düşük debilerde ve düşük düşülerde çalışabilirler. Gemi pervanesine benzeyen çarkı çevresinde geçen suyun etkisi ile döner. Kaplan türbinleri genellikle salyangoz gövde biçimindedir ve dikey olarak kullanılırlar. Kaplan tipi türbinlerde su hem radyal hem de eksenel yönde akar. Bu türbinler, 2-60 m arasında değişen alçak düşüler, 2-200 kW arasındaki güçler arasında çalışabilirler. Daha çok akarsularda kullanılır.
Hidrolik santraller (HES), hidrolik düşülerine göre hangi sınıflara ayrılmaktadır?
Hidrolik düşlerine göre HES’ler;
- Alçak düşülü (H<10m)
- Orta düşülü (H= 10-50 m arası)
- Yüksek düşülü (H>50 m)
olarak üç gruba ayrılır. Alçak ve orta düşülü santraller, genellikle büyük debili nehirlerde kurulan santrallerdir. Yüksek düşülü santraller ise genellikle engebeli veya dağlık araziden farklı debilerde akan nehirler veya barajlar üzerinde kurulan santrallerdir.
Kurulu güçlerine göre HES’ler nasıl sınıflandırılır?
HES’ler kurulu güçlerine göre;
- Çok küçük (mikro) kapasiteli (<100 kW)
- Küçük (Mini) kapasiteli(100-1000 kW)
- Orta kapasiteli(1000-10000 kW)
- Büyük kapasiteli(>10000 kW)
olarak sınıflandırılırlar. Mikro ölçekli hidroelektrik sistemlerin dışındaki kapasiteler ulusal enerji şebekesine bağlıdırlar. Mikro ölçekli sistemler ise ana yerleşim bölgelerinden uzaktaki alanlarda ulusal enerji şebekesinin ulaşmadığı bölgelerde kullanılır. Güçleri, genellikle sadece bir yerleşim yeri ve küçük fabrikalar için yeterlidir.
Baraj tipine göre HES’ler nasıl sınıflandırılır?
Barajlar yapı malzemelerine göre dolgu barajlar ve beton barajlar olarak iki gruba ayrılır.
Dolgu barajlar toprak veya kayanın belli oranlarda karıştırılması ile set oluşturulur.
Beton barajlar ise ağırlık, payandalı ağırlık ve kemer barajları olarak sınıflandırılabilir.
Depolama yapılarına göre HES’ler kaça ayrılmaktadır?
HES’ler suyu depolanmasına bağlı olarak;
- Depolamasız (Nehir tipi)
- Depolamalı (Baraj tipi)
- Pompa depolamalı
olarak sınıflandırılabilir.
Depolamasız (nehir tipi) hidroelektrik santralin genel özellikleri nelerdir?
Depolamasız (Nehir tipi) HES’ler su akışını doğrudan kullanan ve çok küçük bir su havuzuna (regülatör) sahip olan veya olmayan daha çok orta ve küçük ölçekli santrallerdir. Üretim kapasiteleri depolamalı santrallere göre düşüktür. Bu tip bir santralde, nehir suyu, saptırma savağı ve su alma ağzından kanala verilerek yükleme tankına gönderilir. Yükleme tankında günlük bazda yapılan ayarlarla da su debisi kontrol edilir. Su bir cebri borudan geçirilerek türbine gönderilir ve burada suyun hidrolik enerjisi mekanik enerjiye çevrilir. Nehir tipi santrallerin avantajları yerel olarak düşük bir maliyetle kurulabilir olmaları, nehir yatağına daha az zarar vermeleridir. Kurak mevsimde türbin için gerekli debiyi verememeleri ise en önemli dezavantajıdır.
Depolamalı (Baraj tipi) hidroelektrik santralin genel özellikleri nelerdir?
Depolamalı sistemde suyun önü bir baraj sistemi ile kapatılır. Yağışlı mevsimde su barajda depolanır ve böylece yağışsız veya kurak mevsimlerde de gerekli potansiyel enerjiyi sağlamak için kullanılabilir. Depolamalı (Baraj tipi) santrallerin kurulu gücü, ulusal elektrik şebekesinin enerji ihtiyacı yanında aynı zamanda pik güç ihtiyacı da dikkate alınarak tespit edilir. Bu tip santrallerin en önemli avantajı elektrik üretimini, tüketicilerin taleplerindeki dalgalanmalara uygun olarak çok kısa sürede yapabilmeleridir.
Pompa depolamalı hidroelektrik santralin (PDHES) genel özellikleri nelerdir?
Pompa depolamalı HES, elektriğin fazla olduğu ve elektrik talebinin düşük olduğu saatlerde, fazla elektrik enerjisi kullanılarak suyun yüksekteki bir rezervuara pompalanarak daha sonra ihtiyacın daha yüksek olduğu saatlerde (pik saatler=puant) alttaki başka bir rezervuara aktarılarak enerji üretilmesi işlemidir. PDHES’lerde su iletim yapısı olarak basınçlı enerji tünelleri kullanılmakta, alt rezervuarla arasındaki bağlantı ise kuyruk suyu tüneli ile sağlanmaktadır. Alt rezervuardan üst rezervuara pompa ile suyun gönderilmesi için gerekli enerji, aynı hacimdeki suyun türbinlerde ürettiği enerjiden fazladır. Ancak bu işlem için geleneksel baraj santrallerin üretim fazlası enerjisi kullanılmaktadır ve PDHES’ler kullanılarak pik saatlerindeki üretilen enerjinin parasal değeri, üretim fazlası enerjinin parasal değerinin çok üstündedir. Bu nedenle PDHES’lerin kullanılması tercih edilmektedir.
Bir su türbininin su gücü ile mekanik enerji üretebilmesi için temel gereklilik nedir?
Akan suyun enerjisi, hidrolik türbinlerdeki su türbinlerinde mekanik enerjiye dönüşmekte, bu enerji de jeneratörler kullanılarak elektrik enerjisine çevrilmektedir. Bir su türbininin su gücü ile mekanik enerji üretebilmesi için suyun belirli bir hızda olması gerekmektedir. Bu hız, suyun düşme yüksekliğine veya su düşüne uygun basınç farkının yaratılmasına bağlıdır.
Bir hidroelektrik santralinden elde edilebilecek güç nasıl hesaplanmaktadır?
Bir hidroelektrik santralinden elde edilebilecek güç (P), suyun net hidrolik yüksekliğine,
suyun debisine ve suyun yoğunluğuna bağlıdır.
![]()
Bu eşitlikte;
P: Güç (kilowatt, kW)
ρ: Suyun yoğunluğu (kg/m3)
Q: Suyun debisi (m3/sn)
H: Suyun düştüğü yükseklik (m)
g: Yer çekimi ivmesi, m/sn2
η: Türbin verimliliği (%)
Belirli bir yükseklikten düşen suyun hızı nasıl hesaplanmaktadır?
Belirli bir H yüksekliğinden düşen suyun potansiyel enerjisi, suyun kinetik enerjisine dönüşecektir.
Potansiyel enerjideki kayıp=H yüksekliğinden düşen suyun kinetik enerjisi
Buradan;

yazılabilir. Bu eşitlikte;
m: Suyun kütlesi (kg)
g: Yer çekimi ivmesi (9.81 m/sn2)
H: Suyun düştüğü yükseklik (m)
V: Suyun hızı (m/sn)
V'yi eşitliğin soluna çektiğimizde hız (V) şöyle ifade edilmiş olur:
![]()
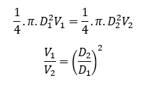
Süreklilik eşitliği nasıl hesaplanmaktadır?
Aşağıda yer alan şekilde suyun daralan bir borudan akışı gösterilmektedir. Su borunun A1 kesit alanından V1 hızı ile geçmekte, A2 kesit alanından ise V2 hızı ile çıkmaktadır. Bu borudan geçen suyun miktarı, borunun tüm kesitlerinde aynıdır. Başka bir ifade ile 1 ve 2 alanlarından geçen birim zaman içinde geçen su debileri sabittir.

m = m1 = m2 = sabit
Suyun kütlesi, yoğunluğu, aktığı borunun kesit alanı ve hızının çarpımına eşittir. Buradan;
m = ρ1 . A1 . V1 = ρ2 . A2 . V2
yazılabilir. Su bastırılamayan bir akışkan olduğu için yoğunluğu sabittir.
A1 . V1 = A2 . V2
Suyun akış hızı (m/sn) ile geçtiği borunun kesit alanı (m2) çarpımı suyun debisini (Q,
m3/sn) vermektedir.
Q1 = Q2
Borunun kesit alanı A = (1/4)π D2 , (A1 . V1 = A2 . V2) eşitliğinde yerine konulduğunda:

elde edilir. Bu eşitliklerde D1 ve D2, şekilde suyun girdiği ve çıktığı kesitlerdeki borunun çapıdır (m).
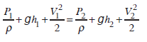
Bernoulli Eşitliği nasıl elde edilmektedir?
Hidroelektrik santrallerde yüksekten akan suyun iki tip enerjisi vardır. Bunlar kinetik ve potansiyel enerjilerdir. Enerjinin korunumu prensibine göre, borudan akan suyun birim hacminin sahip olduğu potansiyel, kinetik ve basınç enerjilerinin toplamı sabittir.
Kinetik enerji+Potansiyel enerji+Basınç enerjisi = Sabit

Yukarıdaki şekile göre Bernoulli eşitliği yazılacak olursa: h1 yüksekliğinden, V1 hızı ile, P1 basıncında akan suyun sahip olduğu enerjilerinin toplamı, h2 yüksekliğinden, V2 hızı ve P2 basıncında akan suyun toplam enerjisine eşit olacaktır. Borudaki sürtünmeden kaynaklanan enerji kayıpları ihmal edildiğinde, Bernoulli eşitliği;

olarak yazılabilir.
Dünyada bölgelere göre hidrolik enerji gücü üretimi nasıldır?
Dünyada 2015 yılı itibarıyla kurulu hidroelektrik santrali 936 GW dır. Hidrolik enerji üretiminde 375 GW ile Asya ülkelerinin lider olduğu görülmektedir. Asya ülkelerini Avrupa ve Amerika takip etmektedir. Ülkelere göre dağılımına bakıldığında ise, Çin’in 61,4 milyon ton petrole eş değer (MTEP) miktardaki enerjiyi hidroelektrik santrallerden sağladığı görülmektedir. Çin’i sırasıyla Brezilya, Kanada ve ABD takip etmektedir. Bu ülkelerin üretimi ise 23 ila 36,9 MTEP arasında değişmektedir. Türkiye ise bu sıralamaya 4,94 MTEP gücünde ürettiği hidrolik enerji ile 8. sıradan girmektedir.

Türkiye'de HES'lerin toplam kurulu gücü ne kadardır?
2015 yılı itibarıyla ülkemizde bulunan 560 lisanslı Hidroelektrik Santrallerinin toplam kurulu gücü 25918 MW olup bu güçten yaklaşık olarak 70 GWh elektrik enerjisi üretilmektedir.
Türkiye'de en yüksek kapasiteli hidroelektrik santrali hangisidir?
Ülkemizin en yüksek kapasiteli hidroelektrik santrali Şanlıurfa’da bulunan Atatürk barajıdır. Kaya dolgu tipi olan bu barajın gücü 2405 MW’tır. Atatürk Barajı’nı sırasıyla Karakaya (Diyarbakır) ve Keban (Elazığ) barajları takip etmektedir. Bu iki barajın kurulu güçleri ise sırasıyla 1800 ve 1330 MW’tır.