KORELASYON VE REGRESYON ANALİZİ
Korelasyon nedir?
Aralarında ilişki araştırılan değişkenlerden birinde değerler azalırken, diğerinin değerleri de azalıyorsa ya da değişkenlerden birinin değerleri artarken diğerinin değerleri de artıyorsa (veya zıt yönlü değişmeler gösteriyorsa), bu değişkenler arasında bir ilişki olduğu söylenebilir. Çünkü bu durumda değişkenlerin birinin değerlerindeki değişmeler diğerinin değerlerindeki değişmelerden etkileniyor demektir. Buna karşılık birinin değerleri azalır veya çoğalırken diğerinin değerleri hiç değişmiyorsa, değişkenler arasında bir ilişkinin varlığından söz edilemez. Örneğin öğrencilerin bir derse ilişkin çalışma süresi arttıkça, başarı notları da yükselecektir. Buna karşın özel hastanelerin tedavi ücretleri arttıkça, bu hastaneye olan talep azalacaktır.
Pozitif ve negatif korelasyon neyi ifade etmektedir?
İki değişken aynı yönde birlikte değişiyorlarsa, yani değerleri birlikte artıp birlikte azalıyorlarsa,
aralarında pozitif korelasyon var demektir. Örneğin, büyük bir yerleşim yerinde nüfus arttıkça, hastane sayısı da artar. Dolayısıyla bir yerleşim yerinin nüfusuyla, hastane sayısı arasında aynı yönlü yani pozitif bir ilişki var demektir.
İki değişken ters yönlerde değişme eğilimi gösteriyorlarsa, negatif korelasyonlu oldukları ifade edilir.
(xi) arttığında (yi) azalıyorsa ya da tersi söz konusu olduğunda x ve y değişkenleri arasında ters yönlü yani negatif bir ilişki var demektir. Örneğin özel bir hastanenin hastalara sunduğu hizmet bedeli arttığında hasta sayısında bir azalma oluyorsa, bu durumda bu değişkenler arasında negatif yönlü bir ilişkiden söz edilir.
Korelasyonu ölçmek için kullanılan parametre nedir?
İki değişken arasındaki korelasyonun derecesini tam ve sayısal olarak ölçmek için “korelasyon
katsayısı” parametre olarak kullanılır.
Ana kütle ve örneklem korelasyon katsayıları nasıl gösterilir?
ρ , ana kütle korelasyon katsayısını ifade eder. Bunun belli bir örneklemden kestiricisi (tahmincisi) ise “r” harfiyle gösterilir.
Korelasyon katsayısının alabileceği değerlerin aralığı nedir?
Korelasyon katsayısı x ve y değişkenlerinin ne derece birlikte değiştiklerinin bir ölçüsüdür ve alabileceği değerler –1 ve 1 arasında değişir.
Sıra korelasyon katsayısı hangi durumda kullanılır?
Birçok durumda değişkenler sayısal olarak ölçülemez. Örneğin meslek, hastanın sosyal güvence durumu, çeşitli marka tercihleri v.b değişkenler sözel değişkenlerdir. Diğer taraftan, bazı durumlarda gözlem değerlerine “sıra numarası“ verilmesi daha uygun olabilir veya gözlem değerleri herhangi bir ölçüte göre zaten sıralanmış olabilir. Değişkenlerin değerleri yerine sıralarının önem kazandığı böyle durumlarda doğrusal korelasyon katsayısı yerine, “sıra korelasyon katsayısı“ (Spearman korelasyon katsayısı) kullanılır.
Bağımlı ve bağımsız değişken nedir?
Sonuç niteliğindeki değişkene “bağımlı (açıklanan) değişken”, “neden” niteliğindeki değişkene ise “bağımsız (açıklayan) değişken” adı verilir. Örneğin, özel bir hastaneye gelen hasta sayısı arttıkça, hastanenin geliri de artacaktır. O halde hasta sayısı “neden” durumunda olduğu için “bağımsız değişken”, hastane geliri de “sonuç” niteliğinde olduğu için “bağımlı değişken” konumunda olacaktır.
Belirlilik katsayısı nedir? Aldığı değerler hangi sınırlardadır?
Regresyon doğrusu belirlendikten sonra bağımsız değişkenin, bağımlı değişkeni hangi oranda
açıkladığının da bilinmesi gerekir. Eğer bağımsız değişkenin, bağımlı değişkeni açıklama oranı yüksek ise, bağımsız değişken önemli bir değişken demektir ve denklemde yer almalıdır. Bağımsız değişkenin, bağımlı değişkeni açıklama oranı ise, korelasyon katsayısının karesi olan ve “Belirlilik Katsayısı” olarak isimlendirilen r2 değeridir. Belirlilik katsayısının sınırları da 0≤ r 2 ≤ 1" dir.
Regresyon (eğim) katsayısının anlamlılık testi neyi ifade etmektedir?
Regresyon denklemindeki tüm katsayıların anlamlılık testleri yapılabilir. Ancak sabit terimin anlamlılığı çok önemli olmadığından bu ünitede sadece eğim katsayısının anlamlılık testi anlatılacaktır. Eğer eğim katsayısı anlamlıysa, bağlı olduğu bağımsız değişken anlamlı demektir. Dolayısıyla bu bağımsız değişken, bağımlı değişkeni açıklamada önemli bir değişkendir.
Eğim katsayısının anlamlılık testi nasıl yapılmaktadır?
Eğim katsayısının anlamlılık sınamaları da iki şekilde yapılır. Bunlar z ve t sınanmalarıdır. Ancak ana kütle varyansı genellikle bilinmediğinden ve n<30 olduğundan, t testi uygulanır.
Hipotezler,
H0:b1=0 (katsayı anlamsız)
H1:b1 ≠ 0 (katsayı anlamlı)
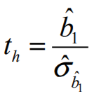
olmak üzere, test istatistiği ise,

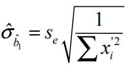
olarak belirlenecektir. Test istatistiğinin paydasında yer alan değere ise standart hata kestiricisi denir ve aşağıdaki gibi belirlenir:

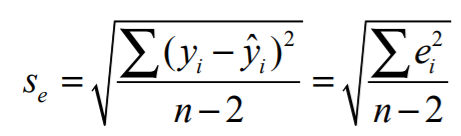
Artıkların standart sapması olan
değeri de,

formülüyle belirlenir. Buna “tahminin standart hatası” da denir.
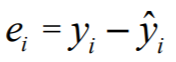
olarak hesaplanır ve “artık terimi” olarak ifade edilir. Formülden de görüldüğü gibi artık terimleri bağımlı değişkenin gözlem değerlerinden, regresyon denklemi yardımıyla tahmin edilen değerlerin çıkarılmasıyla elde edilirler. Şunu unutmamak gerekir ki artık değerlerinin toplamı daima sıfırdır. Bunların kareleri toplamına ise
“artık kareler toplamı” denir ![]()
Test istatistiğinin değeri de belirli bir anlam düzeyi ve (n-2) serbestlik derecesi ile tablo değeriyle karşılaştırılır. Eğer sıfır hipotezi reddedilirse eğim katsayısının anlamlı, yani bağımsız değişkenin bağımlı değişkeni açıklamakta önemli olduğu sonucuna varılır.
Excel'de korelasyon analizi için aşamalar nelerdir?
Excel’de regresyon analizinin yapılabilmesi için “veri çözümleme” nin kurulu olması gerekir. Her zaman olduğu gibi yeni bir çalışma sayfası açılarak önce veriler girilir. Önce “veri” menüsü, daha sonra da “veri çözümleme” menüsü tıklanır. Karşımıza çıkan pencereden yapmak istediğimiz analiz olan “korelasyon” tıklanır. Daha sonra korelasyonu hesaplanacak değişkenler seçilir ve “Tamam” tıklanarak sonuca ulaşılır.
Excel'de regresyon uygulamaları nasıl yapılır?
Regresyon analizi için “veri” ve “veri çözümleme” menüsü tıklanır. Karşımıza çıkan pencereden yapmak istediğimiz analiz olan “regresyon” tıklanır. Daha sonra bağımlı değişken “Y Giriş Aralığı”na, bağımsız değişken de “X Veri Aralığı”na girilir. “Tamam” tıklanarak “ÖZET ÇIKIŞI” olarak belirtilen sonuç tablosuna ulaşılır.
Regresyon analizinde özet çıkışındaki ifadeler ne anlama gelmektedir?
Çoklu R : r değeridir. (Çoklu R, çoklu korelasyon katsayısı olmasına rağmen, basit korelasyon için de aynı şekilde ifade edilmektedir. Bu ayırımı analizi yapan kişi yapacaktır).
R Kare: r2 değeridir.
Ayarlı R Kare: Düzeltilmiş çoklu belirlilik katsayısıdır ve çoklu regresyon analizinde kullanılır.
Standart Hata: se değeridir.
“Katsayılar sütunu”, denklemin sabit terimini ve değişkenlere ait tahmin edilen katsayıları verir.
“Standart hata” sütunu ise katsayılara ilişkin standart hata kestirimlerini verir.
Excel'de çoklu regresyon uygulamaları nasıl yapılmaktadır?
Çoklu regresyon analizi için işlemler aynı basit regresyondaki gibidir. Farklı olarak sadece bağımsız
değişkelerin her ikisi (ya da daha fazla) de “X Veri Aralığı”na girilir. “Tamam” tıklanarak “ÖZET
ÇIKIŞI” olarak belirtilen sonuç tablosu elde edilir.
Sıra korelasyon katsayısının hesaplanması nasıl yapılmaktadır?

Özel bir hastanenin yıllık reklam harcamaları ve hastaneye gelen hasta sayıları tablodaki gibi elde edilmiş olsun. Buna göre bu iki değişken arasındaki örneklem korelasyon katsayısını hesaplayarak yorumlayınız.
Reklam Harcamaları ve Hasta Sayıları

Korelasyon katsayısının hesaplanabilmesi için öncelikle değişkenlere ait ortalamalara ihtiyaç vardır. Bu ortalamalar hesaplandığında
olarak bulunacaktır. Ortalamalardan sapmalar ve diğer gerekli hesaplamalar da tabloda verilmiştir.

Korelasyon analizi ne işe yarar?
Değişkenler arasında var olan ilişkileri ölçmek için çeşitli teknikler kullanılabilir. Bunlardan en basiti ise “korelasyon analizi” dir. Korelasyon iki ya da daha çok değişken arasındaki ilişkinin derecesi olarak tanımlanabilir. İki değişken arasındaki ilişkinin derecesine ise ”basit korelasyon” denir. Bir serpilme çiziminde (diyagramında), bütün (xi,yi) noktaları bir doğruya yakın yerlerde toplanıyorlarsa korelasyon “doğrusaldır”. Anlaşılacağı gibi eğer değişkenler arasında bir ilişki varsa, bu ilişki pozitif (aynı yönlü) veya negatif (ters yönlü) olabilir.
Korelasyon katsayısı hangi sembolle gösterilir?
İki değişken arasındaki korelasyonun derecesini tam ve sayısal olarak ölçmek için “korelasyon
katsayısı” adıyla anılan ve genellikle Yunanca harf " " ρ (ro) ile gösterilen bir parametre kullanılır.
Sıra korelasyon katsayısının hesaplanmasında nasıl bir yol izlenir?
Sıra korelasyon katsayısının hesaplanmasında gözlemler, büyüklük, önem vb. özelliklerine göre sıraya dizilir. Bir başka deyişle verilere sıra numarası verilir ve gerçek sayısal değerleri yerine bu sıra numaraları arasındaki ilişki belirlenmeye çalışılır. Bazen de veriler zaten sıralanmış olarak elde edilir. Örneğin hastalar A bölgesinde bulunan hastaneleri, çeşitli kriterlere göre 1 nci, 3 ncü, 4 ncü v.b sıralayabilirler.
Korelasyon katsayısının aldığı değerler nasıl yorumlanmaktadır?
Korelasyon katsayısı pozitif ise, x ve y birlikte artar ya da azalırlar. Korelasyon katsayısının negatif olması ise x ve y arasında ters yönlü bir ilişki olduğunu ifade eder. Korelasyon katsayısının +1 ya da –1 değerlerine yakın olması değişkenler arasında çok kuvvetli bir ilişki olduğunu, sıfıra yakın olması ise değişkenler arasında hiçbir ilişki olmadığını ifade eder.