aofsorular.com
TEK102U

Dalgalar

6. Ünite 75 Soru
S

Sesin dalga hareketi olduğuna dair hangi örnekleri
verebiliriz?

• İnsanların birbirlerine seslenirken, sesin
duyulması,
• Güneşten gelen ve 7 rengin birleşmesiyle oluşan
dalga hareketi,
• Bir haykırma ile sesin bir engele çarpıp geri
dönmesi, yani yankı olayı sesin dalga hareketi
olduğuna dair güzel örnekler oluşturur.

S

Dalgaların yayılma özelliğinden faydalanılarak hangi
teknolojik cihazlar üretilmiştir?

Dalgaların yayılma özelliğinden faydalanılarak,
televizyon, bilgisayar ve cep telefonu gibi teknolojik
cihazların üretilmesi mümkün olmuştur.

S

Atomun yapısının bilim adamları tarafından
aydınlatılmasında hangi dalgalar önemli rol oynamıştır?

Atomun yapısının bilim adamları tarafından
aydınlatılmasında elektromanyetik dalgalar önemli rol
oynamışlardır.

S

Dalga hareketi nasıl oluşur?

Dalga hareketi bir titreşim hareketinin esnek bir
ortam aracılığı ile bir noktadan başka bir noktaya
iletilmesiyle oluşur.

S

Atma nedir?

Bir ortamda kısa süreli elde edilen bir tek dalgaya
atma denir.

S

Dalga kaynağı nedir?

Atmaların oluşturulduğu kaynağa, dalga kaynağı
denir.

S

İletilen ve dalgayı oluşturan, dalga kaynağı tarafından
meydana getirilen atmalara hangi örneği verebiliriz?

Yan yana dizilmiş olan 5 tane bilyeye başka bir
bilye çarptığı zaman sadece diğer uçtaki bilye hareket
edecektir. Bunun nedeni sadece atmanın iletilmiş
olmasıdır.

S

Stadyumdaki seyircilerin Meksika dalgası denilen
hareketi yapması atmanın hangi özelliğine örnektir?

Atmanın görüntü bakımından ilerlemesine
örnektir. İnsan kütlesi sanki dalgalanıyor gibi olur. Burada
bir uçtan öbür uca yayılan şey insanlar değil, onların
yaptığı oturup kalkma hareketidir.

S

Dalga hareketinin oluşabildiği ortamlar nasıl
ortamlardır?

Dalga hareketinin oluşabildiği ortamlar esnek
ortamlardır. Esnek gergin bir yay da sıkıştırıldıktan sonra
serbest bırakıldığında denge konumu etrafında titreşim
hareketi yapacaktır. Bu da dalga hareketinin esnek
ortamlarda olduğunu gösterir.

S

İdeal esnek bir ortamda dalgalar nasıl yayılır?

İdeal esnek bir ortamda enerji kaybı olmadığı
kabul edildiğinde, bu ortamda enerjinin tanecikler arasında
iletim yolu ile aynen yayıldığı varsayılır.

S

Esnek olmayan bir ortamda dalgalar nasıl yayılır?

Dalgalar esnek olmayan bir ortamda yayılırken
ise enerji kaybı olacağından genliği küçülerek söner ve
belli bir süre sonra dalga kaybolur.

S

Mekanik dalga nedir?

Bir ortamdaki parçacıkların, denge durumu
etrafındaki titreşimler sonucu oluşan dalgalara mekanik
dalga denir.

S

Mekanik dalgaları meydana getirebilmek için neye
ihtiyaç vardır?

• Enerji kaynağına,
• Esnek bir ortama ihtiyaç vardır.

S

İlerleyen atma nedir?

Bir ucu sabitlenmiş bir ipin diğer ucu ani olarak
yukarı aşağı doğru hareket ettirildiğinde bir atma meydana
gelir ve bu atma belli bir hızla hareket eder. Bu tip atmalara
ilerleyen atma denir. Burada ip, dalganın yayıldığı ortamdır.

S

Dalgalar oluşum ve yayılma doğrultularına göre kaça
ayrılır?

• Enine dalgalar
• Boyuna dalgalar olmak üzere ikiye ayrılır.

S

Enine dalga nedir?

Dalganın yayıldığı ortamın taneciklerinin titreşim
hareketinin doğrultusu, atmaların doğrultusuna dik ise bu
tür dalgalara enine dalgalar denir.

S

Boyuna dalga nedir?

Dalganın yayıldığı ortamın taneciklerinin titreşim
hareketinin doğrultusu ile atmaların yayılma doğrultusu
aynı ise bu tür dalgalara da boyuna dalgalar denir.

S

Bilim adamları enine ve boyuna dalgaları inceleyerek
dalgalarla ilgili hangi sonuca varmışlardır?

Bu araştırmalar sonucunda; ses dalgalarının
boyuna dalgalar, ışık dalgalarının enine dalgalar şeklinde
yayıldığı anlaşılmıştır.

S

Hem enine hem boyuna yayılan dalgalar hangi
dalgalardır?

Deprem sarsıntıları, hem enine hem de boyuna
dalgalar olarak yayılmaktadır.

S

Hangi dalgalar iletişim teknolojisinde önemli yer
tutmaktadır?

Enine dalgalar özellikle iletişim teknolojisinde
önemli bir yer tutmaktadır.

S

Periyodik hareket nedir?

Bir ipin ucunu eşit zaman aralıkları ile yukarı
çekip, tekrar yerine getirirsek oluşan atmalar eşit
aralıklarla birbirini takip ederler. Bu harekete periyodik
hareket denir.
Sallanan bir sarkacın hareketi, bir ucundan sabitlenmiş bir
yaya bağlı kütlenin salınımı basit periyodik harekete örnek
olarak gösterilebilir.

S

Dalgaboyu nedir?

Dalga üzerinde ardışık iki tepe noktası arasındaki
uzaklığa dalgaboyu adı verilir. Sallanan bir sarkacın
hareketi, bir ucundan sabitlenmiş bir yaya bağlı kütlenin
salınımı basit periyodik harekete örnek olarak
gösterilebilir. Dalgaboyunun birimi SI birim sisteminde
metre (m) dir.

S

Genlik nedir?

Herhangi bir atmanın tepe noktasının denge
konumuna uzaklığına ise genlik denir ve A ile gösterilir.
Genlik, dalgayı ortaya çıkaran enerjinin miktarına
bağlıdır. Dalganın enerjisi artarken, genlik de artar.

S

Frekans nedir?

Tüm dalgalar belli bir frekansa sahiptir. Birim
zamanda oluşan atma sayısına frekans denir ve f ile gösterilir.
SI birim sisteminde frekansın birimi saniye -1 (s-1) veya hertz
(Hz) dir. Örneğin bir dalga kaynağı saniyede 10 dalga
üretiyor ise bu kaynağın frekansı “10 dalga/s dir” denir.

S

Periyot nedir?

Ardışık iki atma arasında geçen zamana ise
periyot denir. Periyot T ile gösterilir ve SI birim
sisteminde birimi saniye (s) dir.

S

Frekans ve periyot arasındaki bağlantı hangi formülle
gösterilir?

T= 1 / f  şeklinde ifade edilir ve bütün periyodik
hareketlere uygulanır.

S

Rezonans nedir?

Periyodik ve zorlayıcı bir etkinin altında kalan
sistemlerde salınımların oluştuğunu biliyoruz. Bu
salınımlar eğer sistemin doğal frekansına eşit olursa,
sistemin genliği sonsuza dek artma eğilimi gösterir. Sonuç
olarak sistem, belli bir genlikten sonra bütünlüğünü veya
bulunduğu durumu koruyamayarak dağılır veya bozulur.
Bu olaya rezonans denir.

S

Doğrusal sistemlerin rezonansa girebilmesi için ne
gereklidir?

Doğrusal sistemlerin rezonansa girebilmesi için,
salınım genliğinin, uygulanan kuvvetle doğru orantılı
olması gerekir. Eğer uygulanan kuvvetin frekansı sistemin
doğal frekansına eşitse rezonans gerçekleşir.

S

Ses ortamda nasıl yayılır?

Ses, ortamda dalgalar halinde yayılır. Fiziksel
anlamda ortamı oluşturan moleküller gelişigüzel salınım
hareketi yaparlar. Bu gelişigüzel salınım hareketi
nedeniyle moleküller birbirlerine enerji aktarımı
yapabilirler. Sesin bir yerden bir yere iletilmesi de bir
enerji aktarımıdır. Bu iki nedenden dolayı ses, ortamdaki
moleküller tarafından yayılır.

S

Vakum uygulanmış bir odada konuştuğumuzda sesimiz
neden duyulmaz?

Ses boşlukta yayılamaz, çünkü boşlukta
sıkışmaları iletecek bir madde bulunmamaktadır ve vakum
uygulanmış olması nedeniyle odada titreşimleri
kulağımıza taşıyacak bir ortam bulunmamaktadır.

S

Ses dalgaları ne tür dalgalardır?

Ses dalgaları, boyuna dalgalara önemli bir
örnektir.

S

Ses kaynakları ve insan arasındaki taşıyıcı ortam nedir?

Ses kaynakları ve insan arasındaki taşıyıcı ortam
havadır. Doğadaki tüm sesler, konuşmalarımız ve müzik
sesleri bize hava aracılığı ile taşınır.

S

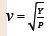
Young modülü nedir?

Katı ve sıvılar her ne kadar hava kadar elastik
olmasalar da tüm maddelerin belirli bir elastikiyeti vardır.
Katı maddeleri oluşturan moleküller arasındaki elastikiyet
“Young modülü” (Y ile gösterilir) olarak adlandırılır.
Young modülü katı maddelere özgüdür ve hava için
doğrudan uygulanamaz. Katı ortamlarda sesin hızı, ortamı
n Young modülü (Y ) ile doğru, yoğunluğu (r) ile ters
orantılı olarak artar ve aşağıdaki eşitlikle gösterilir:

S

Sesin fiziksel özellikleri nelerdir?

• Yükseklik
• Şiddet
• Tını

S

Sesin yüksekliği ne ile ölçülür?

Sesin yüksekliği frekansı ile ölçülür. Sesin bir
noktadaki şiddeti o noktadaki birim yüzeye birim zamanda
ses kaynağından taşınan enerjidir.

S

Sesin tınısının özelliği nedir?

Sesin tınısı, ses kaynağının yapısını karakterize
eden bir özelliktir.

S

Frekanslarına göre ses dalgaları kaç gruba ayrılır?

• İşitilebilir dalgalar
• İnfrasonik (Sesaltı) dalgalar
• Ultrasonik (Sesüstü) dalgalar

S

İşitilebilir dalgaların özelliği nedir?

İşitilebilir dalgalar, insan kulağının duyarlılık
sınırları içinde olan ses dalgalarıdır. Bu dalgalar 20 Hz ile
20.000 Hz frekansları arasındadır. Bu sesler, müzik
aletleri, boğazdaki ses telleri ve hoparlör gibi değişik
yollarla yaratılabilir.

S

İnfrasonik (Sesaltı) dalgaların yapısı nasıldır?

İşitilebilir boyutun altındaki frekansta olan
boyuna dalgalardır. Deprem dalgaları bu dalgalara
örnektir. Deprem, yer içinde fay olarak adlandırılan
kırıklar üzerinde biriken biçim değiştirme enerjisinin,
aniden boşalması sonucunda oluşan yer değiştirme
hareketinin neden olduğu karmaşık, elastik bir dalga
hareketidir.

S

Ultrasonik (Sesüstü) dalgaların yapısı nasıldır?

İşitilebilir mertebenin üstünde frekansları olan
boyuna dalgalardır. Örneğin, bu dalgalar, bir kuartz
kristaline alternatif elektrik alanın uygulanmasıyla elde
edilebilir. Ultrasonik ses, günlük hayatta ve teknolojide de
kullanılır.

S

Ultrasonun diğer görüntüleme yöntemlerinden en
büyük farkı nedir?

x-ışınlarını kullanmaması yani radyasyon
içermemesi, bunun yerine insan kulağının duyamayacağı
frekansta ses dalgalarından yararlanmasıdır. Ultrason
cihazı ses dalgalarının değişik yoğunlukta dokular içinde
farklı hızlarda ilerlemesi ve yansıması prensibine dayanan
bir mekanizma ile çalışır.

S

Elektromanyetik dalga nedir?

Radyo dalgaları, ışık dalgaları, kızılötesi dalgalar
ve mikrodalgalar boşlukta yayılabilir ve enerji
taşıyabilirler. Yani bu tür dalgaların yayılması için bir
ortama ihtiyaçları yoktur. Bu tür dalgalara
elektromanyetik dalga denir.

S

Elektromanyetik dalgalar ilk kim tarafından bulunmuştur?

Elektromanyetik dalgalar ilk olarak James Clerk
Maxwell tarafından öngörülmüştür ve Heinrich Hertz
tarafından deneysel olarak doğrulanmıştır.

S

Maxwell ışığında bir elektromanyetik dalga olduğu
sonucuna nasıl varmıştır?

Dalga denklemleri ile tahmin ettiği ışık hızı
(c = 3 . 108 m/s) ile deneysel olarak ölçülen ışık hızı
birbirine denk düştüğünden, Maxwell, ışığın kendisinin de
bir elektromanyetik dalga olduğu sonucuna varmıştır.

S

Elektromanyetik dalgalar nasıl dalgalardır?

Elektromanyetik dalgalar, ivmelendirilmiş
elektrik yükleri tarafından oluşturulurlar. Yayınlanan bu
dalgalar, birbirlerine ve dalganın yayılma doğrultusuna dik
olan ve titreşen elektrik ve manyetik alanlardan ibarettir.
Bu nedenle elektromanyetik dalgalar enine dalgalardır.

S

Elektromanyetik dalga etrafa nasıl yayılır?

Elektromanyetik dalgalar ivmeli yük hareketi ile
oluşacağına göre, bu dalgalar, çok kolay yollarla elde
edilebilir. Örneğin sürtünme ile yüklediğimiz yüklü plastik
çubuğu elimizle havada ileri geri sallarsak etrafa
elektromanyetik dalga yaymış oluruz. Aynı şekilde
yerçekimi ivmesi ile hareket eden yüklü bir cisimde etrafa
elektromanyetik dalga yayar.

S

Elektromanyetik dalgaların özellikleri nelerdir?

• Elektromanyetik dalgalar ivmelendirilmiş yükler
yoluyla yayılır. Boşlukta, c ışık hızı ile
yayılmaktadırlar.
• Elektromanyetik dalgalarda, elektrik ve manyetik
alanlar birbirine diktir. Yani enine dalgalardır.
• Elektromanyetik dalgaların yayılması için ortam
gerekmez.
• E ve B nin boş uzaydaki bağıl büyüklükleri,
E / B =c bağıntısı ile birbirlerine bağlıdır.
• Elektromanyetik dalgalar, yük taşımaz, enerji ve
momentum taşırlar, basınç uygularlar.

S

Elektromanyetik spektrum nedir?

Frekans ve dalgaboyuna göre sıralanmış
elektromanyetik dalgaların hepsine elektromanyetik
spektrum denir.

S

Elektromanyetik dalgalar hangileridir?

• Radyo dalgaları,
• Mikrodalgalar,
• Kızılötesi ışınlar,
• Görünür ışık,
• Morötesi ışınlar,
• X-ışınları,
• Gamma ışınları’dır.

S

Işığın dalga modeli kim tarafından geliştirilmiştir?

Huygens tarafından ışığın dalga modeli
geliştirilmiştir. Bu modeli daha sonra Young ve Fresnel de
desteklemiştir.

S

Işık teorilerindeki ilerlemeyi kim kaydetmiştir?

Işık teorilerindeki en büyük ilerlemeyi Maxwell,
ivmeli hareket eden elektrik yüklerinin elektromanyetik
dalga yaydığını ve bunların hızının ışık hızına yakın
olduğunu bulması ile gerçekleştirmiştir.

S

Işığın hem dalga hem tanecik özelliği olduğunu kim
buldu?

1924 yılında de Broglie ve Schrödinger ışığın dalga
ve tanecik modelini birleştirerek dalga mekaniğini kurdular.

S

Dalga mekaniği nedir?

Işık, hem dalga hem de tanecik özelliği gösterir.
Yani ışık, foton denilen çok küçük parçalar halinde etrafa
yayılmakla birlikte, bu fotonlara hareket sırasında bir de
dalga eşlik etmektedir. Işık ikili bir tabiata sahiptir. Bazı
olaylarda dalga gibi bazı olaylarda da tanecik gibi
davranabilmektedir.

S

Görünür ışığın dalga boyu ne kadardır?

Görünür ışığın dalga boyları 400-700 nm
aralığında bulunur.

S

Işık dalgaları nasıl dalgalardır?

Titreşim doğrultusu yayılma doğrultusuna dik
olduğundan, ışık dalgaları enine dalgalardır.

S

Işık en büyük hıza ne zaman sahiptir?

Işık en büyük hıza boşlukta hareket ederken
sahiptir.

S

Dalga cephesi nedir?

Dalga kaynağından çıkan dalganın, aynı anda
ulaştığı noktaların oluşturduğu yüzeye dalga cephesi denir.

S

Işın nedir?

Dalga cephesinin hareket yönünü gösteren oklara
ışın denir.

S

Yansıma nedir?

Dalga kaynağından çıkarak ortamda doğrusal
olarak yayılan ışınlar herhangi bir yüzeye çarptıklarında
yansımaya uğrarlar.

S

Dağınık yansıma nedir?

Işınların geldiği yüzey pürüzlüyse yansıyan
ışınlar değişik yönlerde yansımaya uğrar. Buna dağınık
yansıma denir.

S

Düzgün yansıma nedir?

Işınların düştüğü yüzey pürüzsüz ve cilalı ise ışınlar
belli bir yönde yansırlar. Buna düzgün yansıma denir.

S

Geliş düzlemi nedir?

Yüzeye gelen ışınla ışığın yüzeye geldiği
noktadaki yüzey normalinin oluşturduğu düzleme geliş
düzlemi denir.

S

Gelme ve yansıma açısı nedir?

Gelen ışınla yüzey normali arasındaki açıya
gelme açısı ( i ), yansıyan ışınla yüzey normali arasındaki
açıya ise yansıma açısı ( r ) denir.

S

Yansıma kanunları nelerdir?

• Gelen ışın, normal ve yansıyan ışın, gelme
düzlemi içindedir.
• Yansıma açısı, gelme açısına eşittir. (i=r)

S

Tersinirlik ilkesi nedir?

Işığın izlediği yol, ters yönde gidilirse de aynıdır.
Buna tersinirlik ilkesi denir.

S

Düzlem ayna nedir?

Yansıtıcı yüzeyleri düz olan aynalara düzlem
ayna denir.

S

Düzlem aynanın özellikleri nedir?

Düzlem aynalar üzerlerine düşen ışınların büyük bir
kısmını yansıtırlar. Bir cismin düzlem aynada gördüğümüz
görüntüsü aynanın arkasında, cismin aynaya uzaklığı kadar
uzaklıkta, cismin boyuna eşit ve sanal görüntüdür.

S

Bir noktanın bir optik sistem tarafından görüntüsü
nasıl alınır?

Bir noktanın bir optik sistem tarafından
görüntüsünün alınabilmesi için, o noktadan çıkan en az iki
ışının optik sistem tarafından yansıtıldıktan sonra ya
kendilerinin ya da uzantılarının kesişmesi gerekir. Yansıyan
ışınların kendileri kesişiyorsa oluşan görüntü gerçek,
uzantıları kesişiyorsa oluşan görüntü sanaldır. Düzlem
aynada gerçek bir cismin görüntüsü sanaldır.

S

Işığın kırılması nasıl gerçekleşir?

Işığın ortam değiştirirken doğrultu değiştirmesine
ışığın kırılması denir. Işığın doğrultusunun değişmesi,
ortamın değişmesiyle ilgilidir. Ortam değişmediği sürece
ışığın doğrultusu değişmez.

S

Kırılma indisi nedir?

Ortamın ışığının hızını azaltmasını kırılma
indisi (n ) denilen bir nicelikle karakterize ederiz. Kırılma
indisi;
n= c / v ile ifade edilir.
Burada c ışık hızı, V ışığın ortamdaki yayılma hızıdır.
Kırılma indisi birimsiz bir niceliktir. Boşluğun kırılma
indisi 1’ e eşittir. Işık boşlukta en yüksek hıza sahip
olduğu için, kırılma indisi daima 1’ e eşit veya 1’ den daha
büyük değere sahiptir.

S

Gelme ve kırılma açısı nasıl oluşur?

Gelen ışının normalle yaptığı açıya gelme açısı,
(O1) kırılan açının normalle yaptığı açıya ise kırlma açısı
(O2) denir.

S

Sapma açısı nedir?

Gelen ışının doğrultusu ile kırılan ışığın
arasındaki açı, sapma açısı (δ) adını alır.

S

Kırılma yasaları nelerdir?

• Gelen ışın, normal ve kırılan ışın aynı düzlem
içindedir.
• Gelme açısının sinüsünün kırılma açısının
sinüsüne oranı sabittir. Bu sabite ikinci ortamın,
birinci ortama göre kırılma indisi adı verilir ve bu
gerçek Snell Yasası olarak bilinir.

S

Optikçe çok yoğun ve optikçe az yoğun ortam ne
demektir?

Kırılma indisi büyük olan ortamlara optikçe çok
yoğun ortam (çok kırıcı), kırılma indisi küçük olan
ortamlara optikçe az yoğun ortam (az kırıcı) denir.

S

Optikçe çok yoğun ortamdan az yoğun ortama geçen
ışık ışınları ne olur?

Optikçe çok yoğun ortamdan az yoğun ortama
geçen ışık ışınları normalden uzaklaşarak kırılırlar.
Normal doğrultusunda gelen ışınlar ise kırılmaya
uğramazlar.