aofsorular.com
TEK101U

Hareketin Dinamik İncelenmesi

4. Ünite 52 Soru
S

Dinamik nedir?

Üzerine etki eden kuvvetler bilindiğinde cisimlerin hareketinin nasıl olacağını tanımlar.

S

Klasik mekaniğe ne ad verilir ve neden?

Bizim inceleme alanımıza giren dinamiğin temelleri günümüzden yaklaşık olarak üç asır önce Sir Isaac Newton (1642-1727) tarafından atılmıştır. Klasik mekaniğe bu nedenle Newton mekaniği de denir.

S

Atom boyutu ve ışık hızı nedir?

Dinamiğin inceleme konusu olan cisimlerin, atom boyutlarıyla(=10-10m) karşılaştırıldığında çok büyük ve hızlarının da ışık hızı yanında ( m/s) çok küçük olduğu unutulmamalıdır.

S

Newton mekaniği nerde kullanılır?

Newton mekaniği, her ne kadar sınırlamalar olsa da basitliği ve geçerlilik alanının genişliği nedeniyle günlük yaşantımızda karşılaştığımız birçok cismin veya sistemin hareketinin incelenmesinde yaygın olarak kullanılır.

S

Kuvvet nedir?

Aralarında ister temas olsun ister olmasın cisimleri hareket ettiren veya cisimlerin hareketini kısıtlayan bu tür etkileri kuvvet kavramı ile açıklamak mümkündür. Kuvvet, gözle görülmeyen fakat etkileri gözlenen veya hissedilen herhangi bir itmeye veya çekmeye verilen isimdir. Bir cisim üzerine etki eden kuvvet onun nasıl hareket edeceğini belirler. Üzerine herhangi bir kuvvet etki etmeden duran bir cisim kendi kendine harekete geçemez. Diğer taraftan hareket halindeki bir cisim üzerine etki eden kuvvet ise onu hızlandırabilir, yavaşlatabilir veya yönünü değiştirebilir. Benzer şekilde kuvvet, kapı örneğinde olduğu gibi cisimleri bir eksen etrafında döndürebilir veya yay gibi esnek cisimlerin şeklini de değiştirebilir.

S

Kuvvet nasıl bir niceliktir?

Kaynağı ne olursa olsun kuvvet, hem büyüklüğü hem de yönü ile belirlendiğinden vektörel bir niceliktir. Bir cisme uygulanan net kuvvet(bileşke kuvvet), cisim üzerindeki ayrı ayrı itme ve çekme kuvvetlerinin vektörel toplamını ifade eder. Newton’a göre ister hareketli ister durgun olsun, cisimlerin hareket özellikleri ile kuvvet kavramı arasında yakın bir ilişki vardır

S

Kuvvet nasıl bir etkileşimdir?

Kuvvet, iki cisim arasında veya cisimle çevresi arasındaki bir tür etkileşimdir

S

Temas kuvveti nedir?

Ki cismin birbirine fiziksel olarak değmesi sonucu ortaya çıkan kuvvetlere temas kuvvetleri adı verilir.

S

 Temas kuvvetine örnek verebilir misiniz?

Bir otomobil fren yaptığında otomobilin tekerlekleri ile yol arasındaki temastan kaynaklanan bir sürtünme kuvvetinin varlığından söz edilebilir. Benzer şekilde, duran bir otomobili itmek için ona temas etmemiz gerekir. Uygulanan kas kuvveti otomobilin konumunu değiştirir. Aynı kuvvet bu kez esnek bir yayı çekmek için kullanılırsa, bu kez yayın şeklinin değiştiği görülür. Bir futbolcu ayağı ile topa vurduğunda ortaya çıkan kuvvet hem topu harekete geçirir hem de onda geçici bir şekil değişikliğine neden olur.

S

Alan kuvveti nedir?

Aralarında fiziki temas olmayan cisimler arasındaki etkileşme kuvvetlerine alan kuvvetleri denir.

S

Kurumsal Stratejilerin çeşitleri nelerdir?

Çeşitlendirme ve çekilme stratejileri

S

Alan kuvvetine örnek verebilir misiniz?

Güneş’in Dünya’yı kendi çevresinde dönmeye zorlaması, Ay ile Dünya arasındaki etkileşimden dolayı denizler üzerinde gel-git adı verilen etkilerin oluşması ise kütle çekimi kuvvetinin varlığını işaret eder. Benzer şekilde bir çubuk mıknatısın toplu iğne gibi metallere yaklaştırıldığında onları kendisine doğru çekmesi bir manyetik etkileşimin sonucudur.

S

Doğada bulunan üç temel kuvvet nedir?

Her ne kadar birbirinden çok farklı gibi görünse de doğada kütle çekim kuvveti, elektro-zayıf kuvvetler ve güçlü çekirdek kuvvetleri olmak üzere üç temel kuvvet bulunur.

S

Türetilmiş kuvvet nedir?

Diğer bütün kuvvetler bu temel kuvvetlerden elde edilir. Türetilmiş kuvvetler ise, varlıklarının doğasında temel kuvvetler bulunan kuvvetlerdir. Örneğin bir yaydaki gerilme kuvveti temelde moleküller arasındaki etkileşmeden kaynaklanan elektrik kuvvetidir.

S

Elektro manyetik kuvvet nedir?

Elektromanyetik kuvvetler, durgun veya yüklü parçacıklar arasında çekme veya itme şeklinde ortaya çıkan orta şiddetteki kuvvetlerdir. Durgun haldeki yüklerin birbirleriyle etkileşmesinden kaynaklanan elektrik kuvvetleri ile hareketli yüklerden kaynaklanan manyetik kuvvetler, 19. yüzyılda birleştirilerek elektromanyetik kuvvetler olarak adlandırılmıştır. Çekici veya itici özellik gösterebilirler. Elektromanyetik kuvvetler atomları, molekülleri, katıları ve sıvıları bir arada tutar.

S

Zayıf çekirdek kuvveti nedir?

Zayıf çekirdek(nükleer) kuvvetleri kısa mesafelerde etkili olup şiddeti elektromanyetik kuvvetlerle karşılaştırıldığında oldukça düşüktür. Bu kuvvet türü radyoaktif bozunma adı verilen radyoaktif çekirdeğin başka bir atomun çekirdeğine dönüşme mekanizmasından sorumludur.

S

Şiddetli çekirdek kuvveti nedir?

Şiddetli çekirdek(nükleer) kuvvetleri diğer bütün kuvvetlerden şiddetli olup atom çekirdeğini oluşturan parçacıklar arasında görülür. Bu kuvvetler, proton gibi atom çekirdeğini oluşturan parçacıkları bir arada tutmaktan sorumludur. Genelde çekici karakterde olup bazı durumlarda itici özellik de gösterirler. Çekirdek içindeki nükleer kuvvetler, elektromanyetik kuvvetten 100 kat daha şiddetlidir.

S

Galileo’nun birinci yasa ile ilgili teorisi nedir?

Sürtünmesiz yüzeylerde hareket eden cisimlerin hiç durmadan yollarına devam etmesi gerektiğini ileri sürmüştür. Ayrıca Galileo, cisimlerin hareket halinde iken durmaya veya hızlanmaya karşı direnç gösterme eğiliminde olduğunu da savunmuştur.

S

Newton’un birinci yasasında ifade edilen nedir?

Bir cisme dışarıdan bir kuvvet etki etmedikçe, cisim duruyorsa durgun kalmaya devam eder, hareketli ise sabit bir hızla doğrusal hareketini sürdürür. Buna göre birinci yasayı, bir cisim üzerine etki eden net(bileşke) kuvvet sıfır ise cisim duruyorsa durgun kalmaya devam eder, hareketli ise hızının büyüklüğünü ve yönünü değiştirmeden hareketini sürdürür, biçiminde de ifade etmek mümkündür.

S

Eylemsizlik nedir?

Eylemsizlik, tanım itibariyle bir değişikliğe karşı direnç göstermedir. Bu yasada bahsedilen eylemsizlik davranışı ile hareket halindeki bir cismin yavaşlamaya veya hızlanmaya, durgun haldeki bir cismin ise harekete geçmeye karşı direnme eğilimi vurgulanır.

S

Newton’un ikinci yasası neyi tanımlar?

Newton’ un ikinci yasası ise sıfırdan farklı bir bileşke kuvvetin cisme etki etmesi durumunda cismin davranışının nasıl olacağını tanımlar. ‹kinci yasa, cisim üzerine etki eden net kuvvet hangi yönde ise cismin o yönde bir ivme kazanacağını ifade eder.

S

Newton’un ikinci yasası nedir?

Bir cismin ivmesinin, üzerine etki eden kuvvetle doğru orantılı olduğu sonucuna kolayca ulaşılır. Bugün Newton’ un ikinci yasası olarak bilinen bu yasaya göre bir cismin ivmesi, o cisme etki eden net(bileşke) kuvvetle doğru orantılı, kütlesi ile ters orantılıdır.

S

İkinci yasa bağıntısı nedir?

F=ma

S

Birinci ve ikinci aysa arasındaki bağlantı nasıldır?

Newton’ un birinci ve ikinci yasası karşılaştırıldığında birinci yasanın aslında ikinci yasanın özel bir hali olduğu düşünülebilir. Eğer F=ma eşitliğinde net kuvvet F sıfır olursa ivme a da sıfır olacaktır. İvmenin sıfır olması cismin hızında bir değişimin olmadığı anlamına gelir. Diğer bir ifadeyle cisim ya sabit hızla ilerlemektedir ya da hareketsizdir. Bu sonuç birinci yasa ile tamamen uyumludur.

S

Kuvvet birimi nedir?

İkinci yasası kuvvet birimi ile kütle ve ivme birimlerini birbirlerine bağlar. SI birim sisteminde kuvvet birimi newton (N)’dur. Kütlenin birimi (kg), ivmenin birimi (m/s2) olduğuna göre; 1 newton (N) , 1 kg kütleli cisme 1 m/s2 ‘lik ivme kazandıran kuvvetin büyüklüğüdür, (1 N=1 kg .m/s2).

S

Kütleyi eylemsizlik tanımı ile tarif ediniz?

Eylemsizlik, bir cismin hareketsiz ise hareketsizlik durumunu sürdürmeye, hareketli ise de sahip olduğu hızı korumaya yönelik bir davranışıdır. Kütle büyüdükçe cisimlerin eylemsizliği de aynı oranda artar. Bu nedenle kütle, cismin doğasında var olan ve eylemsizliği ölçmek için kullanılan fiziksel bir niceliktir. Bir cismin kütlesi ne kadar büyük ise o kadar az ivme kazanacaktır.

S

Kütle nedir? 

Kütle, bir cismin içerdiği madde miktarı olarak da tanımlanır. Cismi oluşturan proton, nötron ve elektron gibi parçacıkların miktarına bağlıdır. Kütle büyüdükçe bu parçacıkların miktarı da artar.

S

Kütlenin birimi nedir?

Skaler bir nicelik olan kütlenin SI birimi kilogram (kg)’dır.

S

Ağırlık nedir, hangi birim sistemi ile ölçülür?

Ağırlık ise cisme uygulanan kütle çekimi kuvvetidir. Bu nedenle diğer bütün kuvvetler gibi vektörel bir niceliktir ve Newton (N) birimi ile ölçülür. Genelde bir cismin ağırlığını göstermek için W sembolü tercih edilir.

S

Cismin ağırlığı nasıl tespit edilir?

Kütlesi m olan bir cisim serbest düşmeye bırakılırsa üzerine yerçekimi kuvveti etki eder. Diğer bir deyişle W ağırlığı nedeniyle düşmeye başlar. Cisim bu kuvvetin etkisi altında g yerçekimi ivmesi kazanır. W =mg eşitliği elde edilir. Diğer bir ifadeyle bir cismin ağırlığını belirlemek için cismin kütlesi ile yerçekimi ivmesi g’ yi çarpmak gerekir.

S

Eylemsizlik kütlesi nedir?

Newton’un ikinci yasasını ifade eden F=ma bağıntısından yararlanılarak hesaplanan kütleye eylemsizlik kütlesi adı verilir. Bu amaçla cisim üzerine büyüklüğü bilinen bir kuvveti etki ettirilerek cismin kuvvet yönünde kazanacağı ivme ölçülür. Daha sonra bu değerler eşitliğinde yerine konularak kütlenin değeri elde edilir.

S

Çekim kütlesi nedir?

Kütleyi ölçmek için izlenecek en basit ve en yaygın olan yol, eşit kollu terazi kullanmaktır. Bu amaçla terazinin kefelerinden birine değeri bilinmeyen kütle diğerine de değeri bilinen kütleler konulur. Terazi dengeye gelinceye kadar bilinen kütleler eklenir veya çıkarılır. Denge durumunda her iki kefeye etkiyen yerçekimi kuvveti aynı olur. Bu durumda her iki kefedeki kütlelerin değeri de aynı olacaktır. Farklı konumlarda yerçekimi kuvvetinin şiddeti değişse bile kütleler için aynı değerler elde edilir. Bu yöntemle ölçülen kütleye çekim kütlesi denir. 

S

Newton’un üçüncü yasası nedir?

Üçüncü yasa ise cisimlerin karşılıklı etkileşmelerini anlatır. Etki-tepki yasası da denilen bu yasaya göre; bir A cismi bir B cismine kuvvet uygularsa(etki kuvveti) FAB, B cismi de A cismine eşit büyüklükte ama zıt yönde bir kuvvet(tepki kuvveti) FBA uygular.

S

Üçüncü yasa matematiksel olarak nasıl ifade edilir?

Bu ifade matematiksel olarak, FAB = -FBA şeklinde verilir.

S

Newton’un üçüncü yasası doğadaki hangi durumu açıklamaktadır?

Newton’ un üçüncü yasası her kuvvetin mutlaka bir tepki kuvvetinin var olduğunu ifade eder. Diğer bir deyişle doğada kuvvetler çiftler halinde bulunur. Tek başı- na bir kuvvet olamaz.

S

Normal kuvvet nedir?

Normal, yüzeye dik anlamına gelir. Normal kuvvet, her zaman yüzeye dik olup cismin yüzeye temas noktasından dışarıya doğru yönelmiştir. Bu kuvvet hiçbir zaman cismi çekmez, daima iter

S

Normal kuvvete örnek veriniz

Bu tür kuvvetlerin en önemli özelliği, cisimlerin birbirleri içerisine girmesini önlemesidir Masa üzerinde duran bir bir kitabı ele alalım. Kitap ağırlığı nedeniyle masa üzerine aşağı yönlü bir kuvvet uygular. Masa da kitabı yukarı doğru eşit büyüklükteki bir kuvvetle iter. Bu kuvvete normal kuvvet denir ve N sembolü ile gösterilir.

S

Sürtünme kuvveti nedir?

Masa üzerindeki kitabı sağa doğru F kuvveti ile itip bırakırsak ne olur? Eğer masa yeterince uzunsa kitabın kısa bir süre hareket edip tekrar durduğunu gözlemleriz. Kitap niçin durmuştur? Kitabın hareketini engelleyen sebep kitap ile masa arasındaki sürtünme kuvvetidir ve f ile gösterilir

S

Sürtünme katsayısı nedir?

Sürtünme kuvveti, temas eden yüzeylerin arakesiti doğrultusunda ve daima hareket yönüne ters yöndedir. Büyüklüğü ise normal kuvvetin büyüklüğüyle doğru orantılıdır. Bu oranı veren katsayı sürtünme katsayısı adını alır ve genellikle μ ile gösterilir.

S

 Sürtünme kuvvetinin matematiksel gösterimi nasıldır? 

Sürtünme kuvveti, sürtünme katsayısı ile normal kuvvetin çarpımına eşittir, f = μ N

S

Statik sürtünme kuvvetini bir örnek ile izah ediniz.

Düz bir zemin üzerinde duran sandığı itmeniz gerektiğini düşünelim. Eğer tüm gücünüzle itmenize rağmen uyguladığınız kuvvet yeterli büyüklükte değil ise sandık harekete geçmeyecektir. Bunun nedeni sandık ile zemin arasındaki sürtünme kuvvetidir. Sandığın hareketine engel olan bu kuvvet, statik sürtünme kuvveti olarak adlandırılır ve fs gösterilir.

S

Kinetik sürtünme kuvvetini bir örnek ile izah ediniz.

Sandık harekete geçtikten sonra sürtünme kuvveti, fs’nin maksimum değerinden daha düşük bir değere iner. Sandığı itmek artık daha kolaydır. Ancak hala itme kuvvetine direnen bir sürtünme kuvveti vardır. Bu sürtünme kuvvetine kinetik sürtünme kuvveti denir ve fk ile temsil edilir.

S

Düzgün dairesel hareket nedir?

Bir cismin sabit bir hızla dairesel bir yörüngedeki bu tür hareketine düzgün dairesel hareket denir.

S

Düzgün dairesel harekete doğadan veriniz.

Ay’ın Dünya çevresindeki hareketi veya dişlilerin, makaraların, otomobil tekerleklerinin bir mil etrafında dönmesi dairesel harekete örnek olarak verilebilir.

S

Dairesel yörüngedeki cismin hızını izah ediniz.

İvme hız vektörünün zaman içindeki değişimine bağlıdır. Dairesel yörüngede hareket eden bir cismin hız vektörü daima cismin yoluna teğettir. Dolayısı ile cismin hızı sabit kalsa dahi hız vektörünün yönü sürekli değişir

S

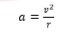
Düzgün dairesel harekette ivme ifadesini matematiksel olarak gösteriniz.

Düzgün dairesel hareket yapan bir cismin hızı v, dairesel hareketin yarıçapı r olursa cismin kazanacağı ivme;

S

Merkezcil ivme nedir?

Hız ve yarıçapa bağlı olarak belirtilen dairesel hareketin ivmesi dairenin merkezine yönelmiş olup merkezcil ivme olarak adlandırılır.

S

Merkezcil kuvvet nedir?

Dairenin merkezine yönelen kuvvetlere merkezcil kuvvet denir.

S

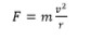
Merkezcil kuvvetin matematiksel gösterimi nedir?

F=ma ile verilen Newton’ un ikinci yasası gereğince, kütlesi m olan bir cismin düzgün dairesel hareket yapabilmesi için gerekli olan kuvvetin büyüklüğü;

S

Geri çağırıcı kuvvet nedir?

Sürtünmesiz yatay bir zemin üzerinde kayabilen bir blok, bir ucu duvara sabitlenmiş sarmal bir yaya bağlanmıştır. Yay ilk durumda ne gerilmiş ne de sıkıştırılmıştır. Yay ve bloktan oluşan sistemin bu konumuna denge konumu denir. Yay, denge konumundan itibaren uzunluğu kadar gerilir veya sıkıştırılırsa blok üzerine büyüklüğü, F = -kx ile verilen bir kuvvet uygular. blok sağa doğru çekilirse yay kuvveti sola doğru, blok sola doğru çekilirse yay kuvveti bu kez sağa doğru olacaktır. Diğer bir ifadeyle yay kuvveti bloğu daima denge konumuna geri götürmeye çalışır. Bu nedenle yay kuvvetine geri çağrıcı kuvvet de denir.

S

Yay kuvvetini gösteren eşitlikte eksi işaretinin nedeni nedir?

Eşitlikteki eksi işareti yayda oluşan kuvvetin yayın gerilme veya sıkışma doğrultusuna ters yönde olduğunu gösterir.

S

Aynı eşitlikte k neyi temsil eder?

Eşitlikteki k niceliğine yay sabiti ya da kuvvet sabiti adı verilir. Bu sabit yayın sertliğinin bir ölçüdür. Yay sertleştikçe yay sabitinin büyüklüğü de artar. SI birim sisteminde yay sabitinin birimi Newton(N)/metre(m)’ dir.