NİCELEME MANTIĞINDA ÇÖZÜMLEYİCİ ÇİZELGE YÖNTEMİ
Tümel-nicelemenin açılımı nedir? Açıklayınız.
∀ν A tümel-nicelemeli önermesinin bir modelde doğru olması, A(a) ∧ A(b) ∧ A(c) ∧... ifadesinin bu modelde doğru olması demektir.
Tümel-niceleyicinin değillenmesi kuralı nedir? Açıklayınız.
~∀ν A ve ∃ν ~A önermeleri niceleme mantığında eşdeğer önermeler olduğundan, daldaki bir üst noktada ~∀ν A ifadesi varsa, o dalda bir nokta olarak ∃ν ~A ifadesi eklenir
Tikel-niceleyicinin değillenmesi kuralı nedir? Açıklayınız.
~∃ν A ve ∀ν ~A önermeleri niceleme mantığında eşdeğer önermeler olduğundan, daldaki bir üst noktada ~∃ν A ifadesi varsa, o dalda bir nokta olarak ∀ν ~A ifadesi eklenir.
Çözümleyici çizelge yöntemi kullanırken nelere başvuracağız?
Çözümleyici çizelge yöntemi ile, nicelemeli bir sembolik önermenin modelini
oluştururken, açılım kuralları yerine, tümel-özelleme ve tikel-özelleme kurallarına
başvuracağız.
Çözümleyici çizelge yöntemi ile, bulduğumuz M: SM = {a, b}, FM = {a}, GM = {b} modelinde ∃x (Fx ∧ ~Gx) ∧ ∃y (Gy ∧ ~Fy) önermesinin doğruluk değerini hesaplayınız.

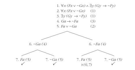
Çözümleyici çizelge yöntemi ile, ∀x (Fx ∨ ~Gx) ∧ ∃y (Gy → ~Fy) önermesi için bir model bulunuz.

Çözümleyici çizelge yöntemiyle (FA ↔ GB) → ∃x (Fx ∨ Gx) önermesi için bir karşı-model bulunuz.

Çözümleyici çizelge yöntemiyle, ∃x (Fx ∨ Gx) ↔ (∃x Fx ∨ ∃x Gx) önermesinin geçerli olduğunu gösteriniz.

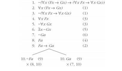
Çözümleyici çizelge yöntemiyle, ∀x (Fx → Gx) → (∀x Fx → ∀x Gx) önermesinin geçerli olduğunu gösteriniz.

∀x Fx ve ∃x ~Fx önermelerinin niceleme mantığında eşdeğer olduğunu çözümleyici çizelge yöntemiyle gösteriniz.

∀x (Fx → FA), ∃x ~Fx ve ~FA önermelerinin birlikle tutarlı olduğunu çözümleyici çizelge yöntemiyle gösteriniz.

∀x (Fx ∨ Gx), ~FA ∴ GA çıkarımının geçerli olduğunu çözümleyici çizelge yöntemiyle gösteriniz.

∀x (Fx → Gx), ∀x (Gx → Hx) ∴ ∀x (Fx → Hx) çıkarımının geçerli olduğunu çözümleyici çizelge yöntemiyle gösteriniz.

∃x Fx ∴ ∀x Fx çıkarımının geçersiz olduğunu çözümleyici çizelge yöntemiyle gösteriniz.

∃x Fx ∧ ∃x Gx ∴ ∃x (Fx ∧ Gx) çıkarımının geçersiz olduğunu çözümleyici çizelge ile bir karşı-model oluşturarak gösteriniz.

Çözümleyici çizelge ile nicelemeli bir sembolik çıkarımın geçersiz olduğunu göstermek için yapılması
gereken nedir?
Kök noktasından başlayarak, öncüllerde ve sonucun değilinde ad sembolleri yerine birer eleman yazarak oluşturulan ifadeleri yazarak oluşturulan çizelgede en az bir açık dal olmalıdır.
Çözümleyici çizelge ile nicelemeli bir sembolik çıkarımın geçerli olduğunu göstermek için yapılması
gereken nedir?
Kök noktasından başlayarak, öncüllerde ve sonucun değilinde ad sembolleri yerine birer eleman yazarak oluşturulan ifadeleri yazarak oluşturulan çizelgede tüm dallar kapanmalıdır.
Çözümleyici çizelge ile nicelemeli bir sembolik önermenin geçerli olduğunu göstermek için yapılması
gereken nedir?
Önermenin değilinde ad sembolleri yerine birer eleman yazarak oluşturulan ifadeyi kök noktasına yazarak oluşturulan çizelgede tüm dallar kapanmalıdır.
∃x (Fx → ∀y Gy) önermesi için karşı-model oluşturmak için, çizelgedeki soru işaretli noktaya hangi formül gelmelidir?
~∀y Gy
Çözümleyici çizelge yöntemi ile, ∃x (Fx ∧ ~Gx) ∧ ∃y (Gy ∧ ~Fy) önermesi için bir model bulunuz.
