Sağlık Yönetiminde Öngörü
Bir değişkenin zaman içerisinde aldığı değerlerin kümesi ne ad verilir?
Zaman serisi.
Zaman serilerine örnek olarak neler verilebilir?
Bir sağlık işletmesinin geçmiş dönemdeki hasta sayıları, gelirleri, tıbbi personel sayıları zaman serilerine örnek olarak verilebilir.
Zaman serisini oluşturan değişkenin zaman içinde belli bir yönde anlamlı bir hareketi yoksa ne tür veriden bahsetmek mümkündür?
Durağan veri.
Zaman serisini oluş turan değişkenin zaman içinde yukarı yada aşağı yönde anlamlı bir hareketi bulunuyorsa ne tür veriden bahsedilebilir?
Durağan olmayan veri.
Zaman serisini oluşturan değişken zaman içinde belirli aralıklarda tekrarlayan bir kalıp izliyorsa ne tür veriden bahsetmek mümkündür?
Mevsimsel veri.
Aşağıdaki formül neyi hesaplamak için kullanılır?

Ortalama mutlak sapma.
Aşağıdaki formül neyi hesaplamak için kullanılır?

Ortalama hata karesi.
Ortalama mutlak yüzde hata (OMYH) hesaplayabilmek için kullanılan formül nedir?

Ortalama hata karesi kökü (OHKK) hesaplayabilmek için nasıl bir formül kullanılır?
![]()
Durağan veri için kullanılabilecek teknikler nelerdir?
Hareketli ortalama, ağırlıklı hareketli ortalama ve üstel düzleme (ÜD) teknikleridir.
Zaman serisinin genel kalıbını bozan kısa süreli tesadüfi dalgalanmaları yumuşatmak için geliştirilmiş olan teknik hangisidir?
Hareketli ortalama tekniği.
Öngörü yapılacak dönemlere yakın dönemlerin ağırlıklarının, uzak dönemlere göre daha fazla olması genellikle istenilen bir durumdur. Bu durumda hangi öngörü tekniği kullanılabilir?
Ağırlıklı hareketli ortalama tekniği
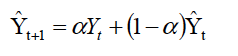
Üstel düzleme tekniği ile t+1 döneminin öngörülen zaman serisi değeri ( t 1 Yˆ+ ) nasıl bir formülle hesaplanır?

Mevsimsel etki hangi iki farklı yapıda olabilir?
Toplamsal ya da çarpımsal yapıda olabilir.
Trend modelleri nelerdir?
Doğrusal regresyon modeli, kuadratik regresyon modeli, Holt metodu, Holt-Winter metodu (Toplamsal mevsimlik yapıda), Holt-Winter metodu (Çarpımsal mevsimlik yapıda).
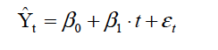
Doğrusal trende sahip bir zaman serisinin regresyon modeli nasıldır?

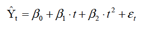
Kuadratik trende sahip bir zaman serisinin regresyon modeli nasıldır?

Holt metodunun diğer bir adı nedir?
Çift ÜD tekniği.
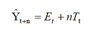
Holt metodu ile öngürüde nasıl bir model kullanılır?

Durağan olmayan zaman serileri, trend bileşeninin yanı sıra mevsimsel faktörleri de içeriyorsa hangi metot ile öngörü yapılabilir?
Holt-Winter Metodu (Toplamsal Mevsimlik Yapıda) ile öngörü yapılabilir.