Maliyet ve Hacim İlişkileri
Toplam maliyeti hesaplamak için hangi parametrelerin belirlenmesi gerekmektedir?
Toplam maliyet, sabit ve değişken maliyetlerden oluşmaktadır. Bu durumda toplam maliyeti hesaplamak için sabit maliyet, değişken maliyet ve faaliyet hacmine ilişkin değişken parametrenin belirlenmesi gerekir.
Toplam maliyet fonksiyonunun bileşenleri nelerdir?
Y= Toplam maliyet
A= Toplam sabit maliyet
b= Faaliyet hacmi başına değişken maliyet (TL/hasta., TL/röntgen, TL/ameliyat süresi)
X= Faaliyet hacmi (Hasta sayısı, poliklinik sayısı, tetkik sayısı, MR sayısı, ameliyat süresi)
Sabit maliyet bileşenine örnekler nelerdir?
Kira giderleri (A1), personel ücretleri (A2), amortisman giderleri (A3), vb giderler, sabit maliyeti oluşturmaktadır.
Toplam maliyet fonksiyonu nedir?
Bir işletmede gerçekleştirilen faaliyetlerin faaliyet hacmine göre değişimini gösteren bir eşitliktir.
Toplam maliyette yer alan toplam sabit ve değişken maliyetlerin, sabit veya değişken olmasındaki unsur nedir?
Toplam sabit maliyetler, faaliyet hacmindeki değişmelerden etkilenmezler. Toplam değişken maliyetler ise, faaliyet hacmindeki değişmeler ile aynı yönde değişme gösterirler.
Maliyetlerin, faaliyet hacmine göre sınıflandırılması nasıldır?
Sabit, değişken ve karma maliyetler.
İşletmelerde hangi maliyetlerin değişken ve hangilerinin de sabit olduğunu belirlemede kullanılan yöntemler nelerdir?
1. Analitik Yöntem
2. Muhasebe Yöntemi
3. Matematiksel ve İstatistikî yöntemlerdir.
İşletmelerde hangi maliyetlerin değişken ve hangilerinin de sabit olduğunu belirlemede kullanılan yöntemlerden olan Matematiksel ve İstatistikî yöntemler nelerdir?
a. En yüksek -en düşük noktalar yöntemi
b. Çifte ortalama yöntemi
c. Grafik yöntemi
d. Regresyon yöntemi
İşletmelerde hangi maliyetlerin değişken ve hangilerinin de sabit olduğunu belirlemede kullanılan yöntemler içerisinde sonuçları açısından en güvenilir olan yöntem ve en güvenemeyeceğimiz yöntem nelerdir?
Kullanılan yöntemler içinde sonuçları en güvenilir yöntem regresyon yöntemi iken, en az güveneceğimiz yöntem ise analitik yöntem ve muhasebe yöntemleridir.
Maliyet fonksiyonu oluşturmada kullanılan muhasebe yöntemi nasıl bir yöntemdir?
Muhasebe yöntemi, muhasebe yöneticisinin geçmiş deneyim ve birikimlerinden yararlanarak maliyetlerin hesaplanmasına ilişkin bir yöntemdir. Maliyet hesaplamaları yargıya dayalı olarak yapılmaktadır. Bu nedenle subjektif bir yöntemdir.
Değişken ve sabit maliyetlerin belirlenmesinde kullanılan yöntemler nelerdir?
Değişken ve sabit maliyetlerin belirlenmesinde kullanılan yöntemler en yüksek, en düşük noktalar yöntemi, çifte ortalama yöntemi, grafik yöntemi ve en küçük kareler yöntemidir.
En Yüksek–En Düşük Noktalar Yönteminde birim değişken maliyet hesaplanırken kullanılan formül nedir?
b= (En yüksek maliyet – En düşük maliyet) / (En yüksek faaliyet hacmi – En düşük faaliyet hacmi)
En Yüksek–En Düşük Noktalar Yöntemi nasıl bir yöntemdir?
Faaliyet hacmi ve dönemler arasındaki ilişkiyi dikkate alarak hesaplama yapmak için kullanılan basit ve etkili bir yöntemdir.Bu yöntemde, gerçekleşen dönemlerdeki iki ayrı faaliyet hacmi esas alınarak toplam maliyet fonksiyonu hesaplanır. İki ayrı faaliyet hacminden ilki, ilgili faaliyet dönemine ilişkin en yüksek faaliyet hacmi; ikincisi ise, en düşük faaliyet hacmidir. Bu iki farklı faaliyet hacmine ilişkin maliyetler arasında karşılaştırma yapılmaktadır. En yüksek ve en düşük noktaların belirlenmesinde faaliyet hacimleri esas alınmaktadır.
Çifte ortalama yönteminde hangi işlemler yapılmaktadır?
- Düşük faaliyet hacmi ve yüksek faaliyet hacmi olarak iki grup belirlenir ve toplam faaliyet hacimleri ve toplam maliyetler hesaplanır.
- Her iki grup için ortalama faaliyet hacmi ve ortalama maliyet belirlenir,
- Düşük ve yüksek faaliyet hacmi arasındaki karşılaştırma sonucunda birim değişken maliyet (b) hesaplanır,
- Son olarak da toplam maliyet fonksiyonu oluşturulur.
Grafik yöntemi nedir ve işlemler nasıl uygulanır?
Grafik yöntemi ise, tümü ile tarihi verilere dayanmaktadır. Bu yöntemde, geçmişteki maliyet-hacim ilişkilerini temsil eden noktalardan hareket ederek grafik çizilir. Giderlerin sabit ve değişken kısımlarının ayrılması bu grafik yardımı ile sağlanmaktadır. Maliyet ve hacim arasındaki ilişkileri gösteren noktaların üzerinde bir doğru çizilmektedir. Bu doğru ile maliyet-hacim ilişkisinin en yoğun olduğu noktalar belirlenir. Bu noktalar arasında iki nokta rastgele (tesadüfî) seçilir. Bu iki nokta arasında maliyetlerde meydana gelen değişme, faaliyet hacmindeki değişmeye bölünerek birim faaliyet hacmi başına (b), değişken maliyet hesaplanır
Regresyon Yönteminde ortaya konan ilişki nedir ve maliyet fonksiyonu nasıl oluşturulur?
En Küçük Kareler Yöntemi diye de adlandırılan bu yöntem, toplam maliyet fonksiyonun oluşturulmasında kullanılır ve, bağımlı ve bağımsız değişkenler arasındaki ilişki ortaya koyar. Bir regresyon yöntemi, bağımlı değişken (maliyet) ve bir veya birden fazla bağımsız değişken (faaliyet hacmi) arasındaki tahmini ilişkiyi ifade eder. Regresyon yönteminde, maliyetlerin sadece hacime göre değil, aynı zamanda döneme bağlı olarak da nasıl değiştiği dikkate alınarak maliyet fonksiyonu oluşturulur.
Regresyon denklemi ve denklem bileşenlerinin anlamı nedir?
Y = A +bX olarak ifade edilen toplam maliyet doğrusunda yer alan değişkenler regresyon denklemi şeklinde ifade edilirse aşağıdaki tanımlamalar yapılacaktır:
Y = Toplam maliyet (Bağımlı değişken)
A = Toplam Sabit maliyet (Sabit faktör)
b = Faaliyet hacmi birimi başına değişken maliyet (Eğrinin eğimi)
X = Faaliyet hacmi (Bağımsız değişken)
Toplam maliyet fonksiyonu dönem ile ilişkilendirildiği zaman ise aşağıdaki yeni denklem ortaya çıkar:
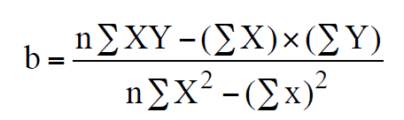
∑Y = nA + b∑X
Regresyon ve grafik tekniği hariç diğer yöntemlerde maliyet fonksiyonu hangi bileşenler arasında ilişkiye göre oluşturulmaktadır?
Regresyon yönteminde, maliyetlerin sadece hacme göre değil, aynı zamanda döneme bağlı olarak da nasıl değiştiği dikkate alınarak maliyet fonksiyonu oluşturulur. Diğer yöntemlerde (grafik tekniği hariç) sadece faaliyet hacmi ile maliyetler arasındaki ilişkiye göre maliyet fonksiyonu oluşturulur.
Regresyon yöntemine göre birim sabit maliyet hangi formül ile hesaplanır?

Regresyon yöntemine göre toplam sabit maliyet hangi formül ile hesaplanır?

Excel aracılığıyla regresyon analizi yapabilmek için izlenmesi gereken komut adımları nelerdir, veri çözümleme aracı nasıl aktifleştirilir?
Excel’de sıra ile Veri →Veri Çözümleme komutları takip edilerek regresyon aracı seçilir. Veri çözümleme aracı, aktif değil ise, aktif hale getirmek için şu adımları izlemeniz gerekir:
1. Dosya
2. Seçenekler
3. Eklentiler
4. Excel eklentileri (git)
5. Eklentiler seçilerek tamam tuşuna basılır.