Proje Değerlemesi
Plan ve planlama nedir?
Plan, gelecekte nereye ulaşılmak istendiğinin, nelerin gerçekleştirilmek istendiğinin
kararlaştırılmasıdır. Planı ortaya çıkarmak için sarf edilen çabalar ise planlama faaliyeti olarak ifade edilmektedir. Planlamanın aşamaları: amaç ve hedeflerin belirlenmesi, amaca ulaştıracak alternatif yolların belirlenmesi, alternatifler arasında en uygun olanın seçilmesi çabalarından oluşur. En uygun alternatifin seçilmesinden sonra sıra projenin hazırlanmasına gelecektir.
Proje nedir?
Proje, bitiş noktası belli olan ve bağımsız bir biçimde yürütülebilir duruma getirilmiş plandır.
Genel olarak proje türleri nelerdir?
Projeler teknik ve yatırım projeleri olarak iki grupta ele alınabilir. Teknik projeler ile ifade edilen genellikle inşaat işleri için hazırlanan mimari projeler, sıhhi tesisat projesi, elektrik projesi vb. iken, yatırım projesi ise, bir plan çerçevesinde belli bir zaman döneminde belirli kaynaklarla gerçekleştirilebilecek mal ve/veya hizmet üretimine yönelik ve birbiri ile ilişkili bir süreçtir.
Yatırım projelerinin temel aşamaları nelerdir?
• Proje Fikrinin Doğuşu ve Ön Eleme,
• Ön Yapılabilirlik Çalışması (Ön Fizibilite Etüdü),
• Yapılabilirlik Çalışması (Fizibilite Etüdü),
• Projenin Değerlendirilmesi,
• Projenin Uygulamaya Konulması,
• Deneme çalışmaları, Son Denetleme ve İşletmeye Alma.
Proje fikirlerinin ön elemeden geçirilmesinde (projeye başlanmadan önce) hangi sorulara cevap aranmalıdır?
- Üretim faktörlerinin edinilmesinde kısıtlayıcılar var mıdır? Örneğin üretim faktörlerini sunan kuruluşlar tekelci midir? İş gücü sağlamada sorunlar var mıdır?
- Proje fikri için gerekli olan sermaye amacın üstünde midir?
- Projenin etkileri devletin belirlediği resmi kural ve ilkelere uygun mudur?
- Projenin etkileri toplum örf, adet ve geleneklerine uygun mudur?
- Proje fikri ulusal politika, amaç ve ilkelerle çelişiyor mu?
- Piyasaya girişi etkileyecek tekelci düzenlemeler var mı?
- Ürünün piyasada dağıtımı engelleyecek dağıtım faktörleri var mı?
- Proje fikri mevcut ve potansiyel sanayi sektörü ile çelişki içinde mi?
Yapılabilirlik çalışması kapsamında yapılan analizler nelerdir?
Sınırlı kaynakların en uygun kullanımını sağlamaya yönelik çalışmalar olarak ifade edilen yapılabilirlik çalışması üç aşamalı bir analizdir. Bunlar “pazar analizi”, “teknik analiz” ve “finansal analiz”dir.
Pazar analizi nedir?
Proje kapsamındaki mal veya hizmetin içinde yer alacağı pazarın ve çevrenin durumunu, işleyişini, mal veya hizmete gösterecekleri tepkileri ve olası etkilerini önceden belirlemek amacıyla gerekli veri ve bilgileri toplayıp işlemeyi ve böylece mal veya hizmetin pazarlanabilirlik derecesini saptama işlemleridir.
Teknik analiz kapsamında neler yapılır?
Yatırım projesinin imalat boyutu ile ilgili olan teknik analizde, projenin gerçekleştirilmesi için alternatif teknolojiler varsa, bunların değerlendirilmesi ve uygun olan teknolojinin seçilerek imalat için gerekli duran varlık yatırımlarının tahmini yapılır. Ancak, burada yatırımın ekonomik boyutunun da gözardı edilmemesi gerekir. Çünkü imalat için seçilen teknolojinin çok pahalı olması yatırımın ekonomik açıdan
arzu edilebilirlik derecesini(kâr veya fayda) olumsuz yönden etkileyebilir.
Finansal analiz kapsamında hangi çalışmalar yapılır?
Yatırım projesine ilişkin nakit giriş ve çıkışlarından hareketle yatırım için gerekli olan finansal kaynak gereksinimini, bu kaynakların nereden ve nasıl sağlanacağını belirleyerek proje önerisinin ekonomik açıdan arzu edilebilirlik derecesini ve potansiyel bir işletme olarak faaliyetlerini sürdürüp sürdüremeyeceğini belirlemeye yönelik çalışmalardır. Çalışmaların olumlu sonuç vermesi durumunda projenin uygulamaya konması için yatırım projesinin hazırlanmasına geçilecektir.
Yatırım projesinin finansmanında kullanılabilecek temel kaynaklar nelerdir?
- Öz Kaynaklar
- Yabancı Kaynaklar
- Yatırım Teşvikleri
Öz kaynaklar nelerdir?
Öz Kaynaklar: Öz kaynak, işletme sahip ya da sahiplerinin işletmeye sermaye olarak verdiği değerler (ödenmiş sermaye) ile işletme çalışmaları sonucu sağlanan ve henüz işletmeden çekilmemiş, dönem net kârı, geçmiş yıllar kârları ile kâr ve sermaye yedeklerinden oluşur. Bu hesaplamada varsa, dönem net zararı ile geçmiş yıllar zararı indirim olarak dikkate alınmaktadır. Diğer bir ifadeyle, işletme sahip ve sahiplerinin işletmenin aktifleri üzerindeki toplam haklarının bir ifadesidir.
Öz kaynaklar hangi başlıklar altında toplanır?
- ÖDENMİŞ SERMAYE
- SERMAYE YEDEKLERİ
- KÂR YEDEKLERİ
- GEÇMİŞ YILLAR KÂRLARI
- GEÇMİŞ YILLAR ZARARLARI(-)
- DÖNEM NET KÂRI
- DÖNEM NET ZARARI(-)
Asgari öz kaynak oranının hesaplanmasında hangi formül kullanılır?

İşletmelere yatırımları ile ilgili olarak devlet tarafından sağlanan teşvikler hangi başlıklar altında toplanmıştır?
- Gümrük vergisi muafiyeti,
- Katma değer vergisi (KDV) istisnası,
- Vergi indirimi,
- Sigorta primi işveren hissesi desteği,
- Yatırım yeri tahsisi ve
- Faiz desteğidir.
Projenin ekonomik değerlendirmesi nasıl gerçekleştirilir?
Ekonomik değerlendirme, projenin kârlılığı ile nakit akışlarını dikkate alan yaklaşımdır. Projenin kârlılığı; yatırımdan beklenen kârın, toplam ilk yatırım tutarına bölünmesi ile belirlenir. Ekonomik değerlendirme amacıyla kullanılan bir diğer yöntem de geri ödeme süresi yöntemidir. Bu yöntemde bir yatırımın sağladığı nakit akımlarının kaç dönem sonra o yatırım için katlanılan fon çıkışına eşit olacağı belirlenir.
Projenin finansal değerlendirmesinde dikkate alınması gereken konular nelerdir?
- Yabancı kaynak anapara ve faiz ödemeleri,
- Kâr payı ödemeleri,
- Yasal kesinti ödemeleri,
- Nakit açıklarının kısa vadeli banka kredilerine başvurarak karşılanıp karşılanmayacağı veya nakit giriş ve/veya çıkışlarında yeniden düzenleme yapılarak giderilip giderilmeyeceği,
- Proje için öz kaynaklar ile uzun vadeli yabancı kaynakların yeterli olup olmadığı,
- Uzun vadeli yabancı kaynak kullanımının uygun olup olmadığı,
Yatırım projelerinin değerlendirilmesinde ve hangi yatırım projesinin yatırım bütçesine dâhil edilip edilmeyeceğinin belirlenmesinde kullanılan yöntemler nelerdir?
- Geri ödeme dönemi yöntemi,
- İskontolu geri ödeme dönemi yöntemi,
- Net bugünkü değer yöntemi,
- İç Kârlılık Oranı Yöntemi,
- Düzeltilmiş iç kârlılık oranı yöntemi,
- Kârlılık endeksi yöntemi.
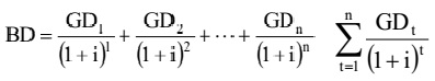
Bugünkü değer (BD) nedir ve hesaplanmasında hangi formül kullanılmaktadır?
Bugünkü değer (BD), gelecekteki nakit hareketlerinin cari döneme indirgenen değerleridir.
Gelecek değer (GD) nedir ve hangi formülle hesaplanır?
Gelecek değer, dönemlere ilişkin nakit hareketlerini belirlenen gelecek dönemdeki (yatırımın ekonomik ömrünün sonu) değerlerinin toplamıdır ve aşağıdaki formül kullanılarak hesaplanabilir.

Yatırım projelerinin analizinde kullanılan geri ödeme dönemi yönteminin kendine özgü avantajları nelerdir?
- Basit ve kolay anlaşılabilirlik
- Riski tanımlama
- Likidite sağlama
- Hızlı değişimin yaşandığı sektörlerde uygulanırlık
Geri ödeme dönemi yönteminin en belirgin dezavantajları nelerdir?
- Yatırımın toplam kârlılığını gösterememesi
- Paranın zaman değerini dikkate almaması
İskontolu geri ödeme dönemi yöntemi nasıl uygulanmaktadır?
Bu yöntem, geri ödeme dönemi yöntemine benzemektedir. Geri ödeme dönemi yöntemi paranın zaman değerini dikkate almadığı için eleştirilmektedir. Iskontolu geri ödeme dönemi yönteminde paranın zaman değeri dikkate alınmaktadır. Gelecekteki nakit hareketleri, bugünkü değere indirgenerek analizlerde kullanılmaktadır. Gelecekteki nakit girişleri, işletmenin sermaye maliyeti kullanılarak bugünkü değere
iskonto edilmektedir.
Net bu günkü değer yöntemi nasıl uygulanmaktadır?
Net bugünkü değer yönteminde, nakit giriş ve çıkışlarının bugünkü değeri arasındaki fark hesaplanmaktadır. Net bugünkü değer yöntemi, ıskontolu nakit akışı yöntemlerinden biridir. Yatırım projesinin net bugünkü değerini hesaplayabilmek için öncelikli olarak, nakit giriş ve çıkışlarının bugünkü değerleri hesaplanır. Bugünkü değerlerin hesaplanmasında kullanılacak oran, sermaye maliyetidir. Bugünkü değerlerin hesaplanmasından sonra toplam tutarlar arasındaki fark hesaplanır ki bu fark, yatırımın net bugünkü değerini verir. Nakit girişleri ve çıkışları arasındaki ilişki basit bir şekilde aşağıda gösterilmektedir:
NBD = BD (Nakit Girişleri) - BD (Nakit Çıkışları)
Karlılık endeksi yöntemi nasıl uygulanmaktadır?
Kârlılık endeksi yönteminde, yatırımdan beklenen nakit girişlerinin gelecek değerleri toplamı, yatırım maliyetine bölünerek yatırıma ilişkin kârlılık oranı hesaplanmaktadır. Bu oranın 1’den büyük çıkması, yatırımın kârlı olduğunun bir göstergesidir. Farklı yatırım alternatifleri arasında yapılacak seçimde, daha büyük orana sahip olan yatırım projesi tercih edilecektir. Karlılık endeksinin hesaplanmasına aşağıdaki formül kullanılmaktadır.

Proje değerlendirme yöntemlerinin karşılaştırılması nasıldır?
