Applications of Integral
What are the main functions in economics that are obtained by using integration?
We can obtain total cost from marginal cost, total revenue from marginal revenue and total profit from marginal profit.
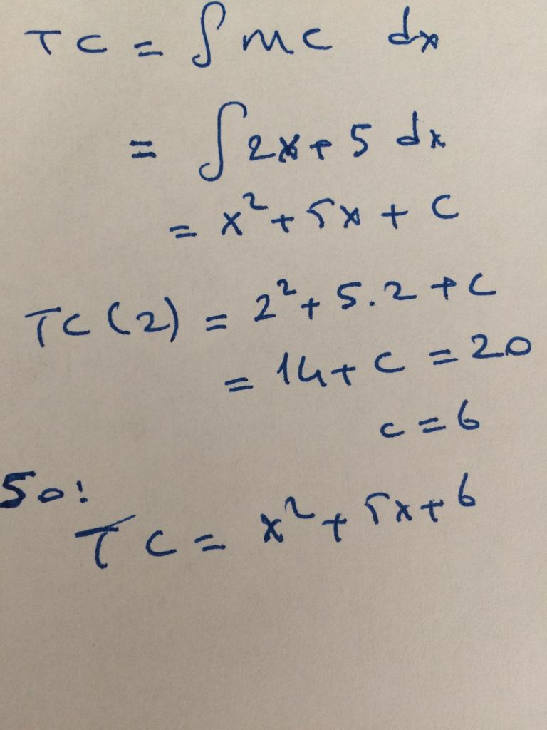
Find the total cost function if the marginal cost function MC=2x+5 and TC(x=2)=20

Fixed cost of a manufacturer is 10 and its' marginal cost function MC=x2+x-1. Find the total cost function.

Show the total consumer expenditure and consumer surplus on a graph and show the mathematical formulation of them.

Assume that demand function for coconuts is D(q)=20-q. Calculate the consumer surplus (CS) when the price is 10.

Assume that the demand for chocolate is D(q)=20-q. At which price the consumer surplus is equal to 32?

So the answer is P=12
Show the total revenue and producer surplus on a graph and show the mathematical formulation of them.

Assume that supply function is S(q)=10+q2. Find the producer surplus for q=5

Assume that the supply curve is defined by S(q)=5+2q. At which price level the producer surplus (PS) will be equal to 49?

So when P=19, producer surplus PS=49
Assume that the supply function for a good is defined by S(q)=q2. Compute the producer surplus as a function of q for this good.

Assume that supply function is given by S(q)=q2. What will be the consumer surplus when q=3?

What does Lorenz Curve represent?
Lorenz curve is a graphical representation of the distribution of wealth, or of income.
How is the Lorenz Curve constructed?
To construct the Lorenz curve, first, people in society or the households are sorted from the lowest income group to the highest. Then, the total portion received from the total income by a number of a group at an arbitrary income level or lower is calculated. If this process is repeated for each income level, the graph of the curve can be constructed.
What are the properties of the Lorenz Function L(x)?
L(x) is an increasing function on the interval [0, 1] and has the following properties:
1.0 ≤L(x)≤ 1: because L(x) corresponds to a percentage
2. L(0) = 0: because no income is earned when no one is employed
3. L(1) = 1: because 100% of the income is earned by 100% of the people
4.L(x) ≤x: because the lowest-paid 100x% of people cannot receive more than 100 x % of total income
What does Gini index tell us?
Gini index is always between 0 and 1. When it is zero it means that everyone has the same income. In the extreme case of Gini index being 1, a single individual receives all the income.
How is the Gini index computed?
Gini index (GI) is computed with the following integral formula where L(x) represents the Lorenz function

What will be the Gini index if the Lorenz function is defined by L(x)=x3.

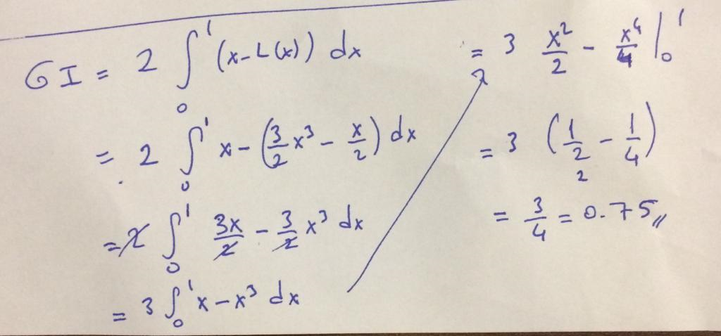
What will be the Gini index if L(x)=3/2x3-1/2x

Define the present value.
Present value is a financial calculation that measures the worth of a future amount of money or stream of payments in today’s TL adjusted for interest and inflation.
Just formulate the following problem: "A company expects its income during the next 4 years to be modelled by the function I(t) = 200000 + 10000t. Assuming an annual inflation rate of 8%, what is the present value of this income"
