MATRİSLER VE DENKLEM SİSTEMLERİNİN MATRİSLERLE ÇÖZÜMÜ
3x-5y=1
4x+6y=7
denklem sisteminin katsayı matrisini bulunuz.
İlk satırın katsayıları 3 ve -5, ikinci satırın katsayıları 4 ve 6 olduğuna göre katsayı matrisi:
![]()
olur.
Matris nedir?
Bir köşeli büyükbparantez içinde satır ve sütunlara yazılı sayı, değişken veya fonksiyonları temsil eden elemanlardan oluşan dikdörtgen biçiminde tabloya matris denir.
Matrisin boyutları diyince ne anlıyorsunuz? 3 sayısı bir matris midir?
Satır ve sütun sayıları matrisin boyutu olarak adlandırılır. “m” tane satır, “n” tane sütundan oluşan A matrisinin boyutu mxn’dir. 1 × 1 boyutundaki bir matris 5, 10 gibi bir sayı iken, m ×1 boyutundaki matris bir sütun vektörü; 1 × n boyutundaki matris ise bir satır vektörü olarak adlandırılır.
Vektör nedir?
Tek bir satır veya sütundan oluşan matrislere vektör denir.
Kare matris nedir?
Satır ve sütun sayısı birbirine eşit olan matrise kare matris denir. 3x3, 4x4 gibi...
Üçgensel matris nedir, türleri nelerdir?
Üçgensel matris, köşegeninin alt veya üstündeki elemanları sıfırdan oluşan kare matristir. Eğer üçgensel matrisin köşegeninin üstündeki elemanlar sıfır ise o matrise alt üçgensel matris; köşegeninin altındaki elemanlar sıfır ise o matrise üst üçgensel matris denir.
Simetrik matris nedir?
Eğer bir matriste tüm i ve j’ler için, aij= aji gerçekleşiyorsa, o matrise simetrik matris denir. Simetrik matrisin evriği kendisine eşit olur.
Köşegen matris ve skaler matris kavramlarını tanımlayınız.
Eğer bir kare matrisin sadece köşegen elemanları sıfırdan farklıysa o matrise köşegen matris denir. Eğer bir köşegen matrisin köşegen elemanları birbirine eşitse o matrise skaler matris denir.
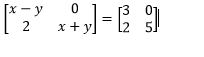
İki matrisin eşit olmasının koşulu nedir? Aşağıdaki iki matris eşitse x ve y değerlerini bulun.

İki matrisin eşit olması için tüm terimlerinin aynı olması gerekir. Bu durumda x-y=3
x+y=5
İki eşitliği alt alta toplarsak:
2x=8
x=4 ve buradan y=1 olur
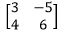
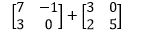
Aşağıdaki matris toplamının sonucu nedir?
![]()

Bir matrisin iz değeri ne demektir? İz değerinin özellikleri nelerdir?

Aşağıdaki çarpma işlemini yapınız:

Bu bir skaler çarpma işlemi olduğu için matrisin her bir elemanı dışardaki skalerle çarpılır.
Bu durumda çarpma işleminin sonucu:
olur.
Aşağıdaki 2 matrisi çarpın.

Matrisler çarpılırken ilk matrisin satırlarıyla ikinci matrisin sütunları çarpılır.

Matris işlemlerinin yasaları nelerdir?

Bir matrisin evriği nasıl elde edilir?
Satır ve sütunları yer değiştirerek. Örneğin 3x2 boyutlu bir matrisin evriği 2x3 boyutlu olur.
Matrisin evriğini alma işleminin özellikleri nelerdir?

Tekil matris nedir?
Tersi alınabilen matrise tekil matris denir.
Matrisin tersini bulmada Gauss eleme metodunu anlatınız.
Bu yöntemde A gibi bir matrisin tersi bulunurken A matrisinin sağ tarafına bir birim matris yazılır. Daha sonra her iki matrise aynı satır işlemleri uygulanır. Bu işlemler A matrisi bir birim matrise dönüşünceye kadar sürdürülür. Bu satır işlemleri sonucunda birim matrise dönüşen matris, A matrisinin ters matrisi olacaktır.
Matrisin tersini almada kullanılan Ek matris yönteminin aşamaları nelerdir?

Denklem sistemlerinin çözümünde kullanılan Cramer kuralını anlatınız.
