aofsorular.com
İKT303U

TEK DEĞİŞKENLİ FONKSİYONLAR

2. Ünite 20 Soru
S

Küme nedir?

Küme, birtakım nesnelerden oluşan bir topluluktur. 

S

Bir kümeyi oluşturan nesnelere ne ad verilir?

Bir kümeyi oluşturan nesnelere, bu kümenin elemanları adı verilir.

S

Sıralı ikili neye denir?

A ve B gibi iki küme verilsin. a ∈ Α ve b ∈ B olmak üzere, bunlardan oluşturulan (a,b) çiftine bir sıralı ikili denir.

S

Bağıntı nedir?

Verilen iki A ve B kümeleri için A x B kümesinin her alt kümesine A kümesinden B kümesine bir bağıntı denir.

S

Fonksiyon nedir?

Bir kümenin elemanları, başka bir kümenin elamanları ile ilişki içerisinde olabilir. Bu ilişkinin bazı kurallar  çerçevesinde oluşturulan özel bir biçimine de fonksiyon adı verilir.

S

Tanım kümesi nedir?

Tanım kümesi, kuralın uygulandığı tüm girdi sayılarının kümesidir.

S

Değer kümesi nedir?

Değer kümesi, tüm çıktı sayılarının kümesidir.

S

İçsel değişken nedir?

İçsel değişken, değeri model tarafından belirlenen değişkendir.

S

Dışsal değişken nedir?

Dışsal değişken, değere modelin dışında belirlenen değişkendir.

S

Tüketim fonksiyonu nedir?

Tüketim fonksiyonu, Keynesyen makroekonomik teoride, mal ve hizmetlere yapılan toplam tüketim harcamaları (C ), harcanabilir gelirin (Yd) bir fonksiyonudur. 

S

Tek değişkenli bir fonksiyonun bükeyliği neye göre belirlenir?

Tek değişkenli bir fonksiyonun bükeyliği, grafiği üzerinde iki noktasını birleştiren kirişin durumuna göre belirlenir.

S

Bir fonksiyonun artan olduğu nasıl anlaşılır?

y =ƒ(x) formundaki bir fonksiyonun x2 > x1 koşulunu sağlayan iki argümanı x1 ve x2 olsun. Eğer ƒ(x2) ≥ ƒ(x1) ise fonksiyon artandır.

S

Bir fonksiyonun kesin artan olduğu nasıl anlaşılır?

y =ƒ(x) formundaki bir fonksiyonun x2 > x1 koşulunu sağlayan iki argümanı x1 ve x2 olsun. Eğer ƒ(x2) > ƒ(x1) ise fonksiyon kesin artandır.

S

Bir fonksiyonun kesin azalan olduğu nasıl anlaşılır?

y =ƒ(x) formundaki bir fonksiyonun x2 > x1 koşulunu sağlayan iki argümanı x1 ve x2 olsun. Eğer ƒ(x2) < ƒ(x1) ise fonksiyon kesin azalandır.

S

Bir fonksiyonun azalan olduğu nasıl anlaşılır?

y =ƒ(x) formundaki bir fonksiyonun x2 > x1 koşulunu sağlayan iki argümanı x1 ve x2 olsun. Eğer ƒ(x2) ≤ ƒ(x1) ise fonksiyon azalandır.

S

Bir fonksiyonun karesel bir fonksiyon olduğu nereden anlaşılır?

a, b, c sabit sayılar ve a≠ 0 olmak üzere, ƒ(x) fonksiyonu ancak ve ancak ƒ(x)=ax2+bx+c biçiminde yazılabiliyorsa, f fonksiyonu bir karesel fonksiyondur.

S

Karesel fonksiyonun çözümü ile ilgili farklı durumlar nelerdir?

Karesel fonksiyonun ya iki çözümü vardır, ya tek çözümü vardır, ya da çözümü yoktur.

S

Talebin fiyat esnekliğinin hesaplanmasında kullanılan yöntemler nelerdir?

Talebin fiyat esnekliğinin hesaplanmasında kullanılan iki yaklaşım vardır. Bunlar nokta esnekliği ve yay esnekliğidir.

S

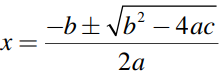
Karesel fonksiyonun çözümü hangi formül ile bulunabilir?

Karesel fonksiyonun çözümü karesel fonksiyon çözümü formülü ile bulunur.

S

Kâr nasıl hesaplanır?

Kâr tanım olarak toplam hasıla ile toplam maliyet arasındaki farka eşittir.