İKTİSADİ UYGULAMALAR
Talep ve toplam fayda kavramlarını tanımlayınız.
Talep: Belirli bir zaman aralığında piyasada tüketicilerin, satın alma gücüyle desteklenmiş, değişik fiyat düzeyinde satın almaya istekli oldukları mal veya hizmet miktarıdır.
Toplam fayda: Belli bir zaman diliminde, bireyin diğer mal ve hizmetlerden olan tüketimi sabit iken, bir malın çeşitli miktarda tüketilmesi sonucu ulaşılan tatmin düzeyidir.
Tüketici rantını açıklayınız ve bir örnek veriniz.
Herhangi bir mal veya hizmeti belli bir fiyatın üstünde almaya istekli olan tüketiciler eğer o mal veya hizmeti, almaya istekli oldukları fiyatın altında satın alabilirlerse paralarının bir kısmını korumuş olurlar. Korunan para miktarı o tüketiciler için bir ranttır. Örneğin, bir tüketici almak istediği bir telefon için 2000 lira ödemeye razı iken 1500 lira ödediyse tüketici 500 lira kazanç elde etmesi tüketici rantı için örnek verilebilir.
Arz ve üretici rantı kavramlarını tanımlayınız.
Arz: Belirli bir zaman aralığında piyasada üreticilerin, değişik fiyat düzeyinde satmaya istekli oldukları mal veya hizmet miktarıdır.
Herhangi bir mal veya hizmeti belli bir fiyatın altında satmaya razı olan üreticiler, eğer satmaya razı oldukları fiyatın üstünde o mal veya hizmeti satabilirlerse gelirlerini bir miktar artırmış olurlar. Artırabildikleri para miktarı o üreticiler için bir ranttır.
x miktarı ve p fiyatı göstermek üzere, bir malın talep fonksiyonu
şeklinde verilmiştir. Buna göre p(0)=2 fiyatındaki tüketici rantı kaçtır?

x miktarı ve p fiyatı göstermek üzere, bir malın talep fonksiyonu
şeklinde verilmiştir. Buna göre p(0)=21 fiyatındaki tüketici rantı kaçtır?


x miktarı ve p fiyatı göstermek üzere bir malın arz fonksiyonu p = x + 1 şeklinde verilmiştir. Piyasa fiyatı 3 olduğuna göre üretici rantını hesaplayınız.

x miktarı ve p fiyatı göstermek üzere bir malın talep fonksiyonu
ve arz fonksiyonu da
p(1)=-(x^2)+7x+54 şeklinde verilsin. Üretici ve tüketicilerin piyasaya katılım sonucunda oluşan piyasa fiyatını hesaplayınız.
Arz ve talep fonksiyonunun eşit olduğu noktadaki fiyat, piyasa fiyatı olduğuna göre, p=p(1) eşitliğinden 
Lorenz eğrisi neden geliştirilmiş ve tanım kümesi hangi aralıkta tanımlıdır?
Lorenz eğrisi, Max Otto Lorenz tarafından gelir dağılımını grafiksel olarak göstermek için geliştirilmştir. Lorenz fonksiyonunun tanım kümesi [0, 1] kapalı aralığı ve değer kümesi de [0, 1] kapalı aralığında tanımlıdır.
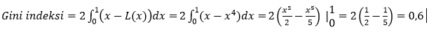
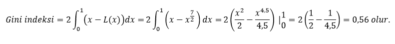
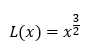
Bir ülkede yayımlanan istatistiki bilgilere göre, yüzde 20'lik fert gruplarına göre gelir dağılımı verilerinden elde edilen Lorenz fonksiyonu
şeklinde belirtilmiştir. Buna göre bu ülkenin Gini indeksini hesaplayınız.

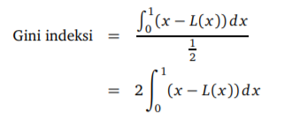
Gini indeksinin hesaplanabildiği formülü yazınız.
şeklindedir.
olarak bulunur.
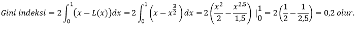
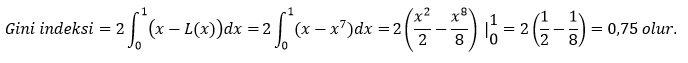
Bir ülkede yayımlanan istatistiki bilgilere göre, yüzde 20'lik fert gruplarına göre gelir dağılımı verilerinden elde edilen Lorenz fonksiyonu
şeklinde belirtilmiştir. Buna göre bu ülkenin Gini indeksini hesaplayınız.
![]()
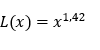
Bir ülkede yayımlanan istatistiki bilgilere göre, yüzde 20'lik fert gruplarına göre gelir dağılımı verilerinden elde edilen Lorenz fonksiyonu
şeklinde belirtilmiştir. Buna göre bu ülkenin Gini indeksini hesaplayınız.

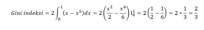
Bir ülkenin İstatistik kurumunun yayımladığı yüzde 20’lik fert gruplarına göre gelir dağılımı verilerinden elde edilen Lorenz fonksiyonu L(x)= x^5 olarak belirlenmiştir. Buna göre bu ülkenin Gini endeksi aşağıdakilerden hangisidir?

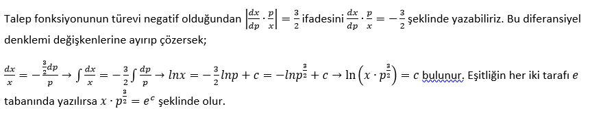
Bir malın talep fiyat esnekliği 3/2 olarak verildiğine göre bu malın miktarı ve fiyatı arasındaki ilişkiyi veren talep denklemini bulunuz.

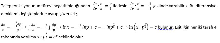
Bir malın talep fiyat esnekliği 4/3 olarak verildiğine göre bu malın miktarı ve fiyatı arasındaki ilişkiyi veren talep denklemini bulunuz

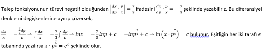
Bir malın talep fiyat esnekliği 7/3 olarak verildiğine göre bu malın miktarı ve fiyatı arasındaki ilişkiyi veren talep denklemini bulunuz.

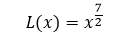
Bir ülkede yayımlanan istatistiki bilgilere göre, yüzde 20'lik fert gruplarına göre gelir dağılımı verilerinden elde edilen Lorenz fonksiyonu
şeklinde belirtilmiştir. Buna göre bu ülkenin Gini indeksini hesaplayınız.

x miktarı ve p fiyatı göstermek üzere bir malın arz fonksiyonu p = 3x + 4 şeklinde verilmiştir. Piyasa fiyatı 13 olduğuna göre üretici rantını hesaplayınız.
