DİFERANSİYEL DENKLEMLER
Diferansiyel denklem nedir?
En basit tanımıyla, içinde değişkenlerin türevlerini bulunduran denkleme diferansiyel denklem denir.
Diferansiyel denklemler hangi alanlarda karşımıza çıkmaktadır?
Diferansiyel denklemler mühendislik, fizik, kimya, ekonomi, biyoloji gibi birçok bilim dalında karşımıza çıkmakta ve çok çeşitli problemleri türev içeren denklemler yardımıyla modelleyip çözebilmemize imkan sağlamaktadır.
Diferansiyel denklemlerde bağımlı ve bağımsız değişken kavramı nasıl hesaplanır?
Diferansiyel denklemlere türevsel denklemler de denilir. Öncelikle bir diferansiyel denklemde kullanılan bazı terimleri tanımlamakla işe başlayalım. Bir diferansiyel denklemde hangi degişkene göre türev alınıyorsa, bu degişkene bağımsız degisken denir. Türevi alınan degiskene ise bagımlı degisken denir.
Türevi kendisinin x eksiği olan fonksiyonun sağladığı diferansiyel denklem nasıl ifade edilir?
Türevi kendisinin x eksigi olan fonksiyonun sagladığı diferansiyel denklem y' = y − x şeklindedir
Türevi 1/x olan fonksiyonun sagladığı diferansiyel denklem nasıl ifade edebilir?
türevi 1/x olan fonksiyonun sagladığı diferansiyel denklem dy/dx = 1x olarak yazılır.
Diferansiyel denklemi özdeş olarak sağlayan fonksiyona ne ad verilir?
Diferansiyel denklemi özdeş olarak sağlayan fonksiyona diferansiyel denklemin çözümü denir.
Diferansiyel denklemin keyfi sabitlere bağlı çözümüne ne ad verilir?
Diferansiyel denklemin keyfi sabitlere bağlı çözümüne diferansiyel denklemin genel çözümü denir.
Diferansiyel denklemin genel çözümündeki keyfi sabitlere degerler vererek elde edilen çözümlere ne ad verilir?
Diferansiyel denklemin genel çözümündeki keyfi sabitlere degerler vererek elde edilen çözümlere özel çözümler denilir.
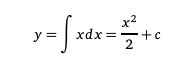
Fonksiyonun türevi x’e eşitse nasıl yazılır?

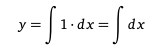
Türevi 1'e eşit olan fonksiyon ne olabilir?
Bu fonksiyonun sagladığı diferansiyel denklem y' = 1 şeklinde olup,
eşitliğinden y = x + c olur.
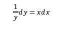
y' = x y denkleminin bağımlı ve bağımsız değişkenlerini ayırırsak nasıl bir denklem ortaya çıkar?

Türevi kendisinin x katı olan fonksiyon nasıl formüle edilir?
![]()
herhangi bir anda nüfustaki değişim oranı ne şekinde ifade edilebilir?

Türkiyenin 2011 yılı adrese dayalı nüfus sayımına göre toplam nüfusu 74 724 269 olarak belirlenmiştir. Yıllık nüfus artış oranı da % 1,35 olduguna göre 2023 yılında toplam nüfusumuz ne kadar olacaktır?

Radyo-karbon testi ile organik bir maddenin yaşının belirlenmesinde hangi diferansiyel denklem kullanılır?

herhangi bir andaki cismin sıcaklığı y, ortamın sabit sıcaklığı s ve orantı sabiti K ise cismin sıcaklığındaki zamana göre değişim oranı nedir?
![]()
çayın başlangıç anındaki sıcaklığı y0 = 75 derece ve ortamın sabit sıcaklığı s = 30 dereceydi. Bu durumda herhangi bir andaki çayın sıcaklığındaki değişimi veren diferansiyel denklem nedir?

Reklamın ulaşabileceği maksimum kişi sayısı M, reklamı gören kişi sayısı y ve orantı sabiti K olmak üzere değişim oranını veren diferansiyel denklem nasıl yazılır?

Topluluktaki toplam kişi sayısı P ve dedikoduyu duymuş olan kişi sayısı da y olsun. Bu durumda henüz dedikoduyu duymamış kişi sayısı P − y olur. K bir orantı sabiti olmak üzere dedikodu yayılmasını modelleyen diferansiyel denklem nasıl yazılır?
![]()
Toplam mevcudu 1500 kişi olan bir okulda bir ögrenci Ajda Pekkan’ın okullarını ziyarete geleceği söylentisini yayıyor. İlk 15 dakikada bu söylentiyi duyan öğrenci sayısı 100 olduguna göre yarım saat içinde bu söylentiyi kaç öğrenci duyacaktır?


