BELİRLİ VE BELİRSİZ İNTEGRAL
Varsayalım ki bir kasabada bir nehirle yol arasında kalan, ¸sekilde görülen bölgeyi yeşil alan haline getirmek istiyorsunuz. Bu projenin maliyeti metrekare başına 25 lira olsun. Bu proje için yaklaşık ne kadar para gerekir?

Bölgenin yola en uzak noktasının yola uzaklıgı 35 ˘ metre ve bölgenin yola cephesi 14 metre olsun. Bölgeyi alttan sınırlayan yolu x-ekseni olarak alıp, bölgeyi bir dikdörtgenle sınırlandıralım. Yani bölgeyi eni 14 metre, boyu 35 metre olan bir dikdörtgen içine alalım. Yolun bölgeyi alttan sınırlayan kısmını x-ekseninin bir parçası olarak kabul etmiştik. Simdi bu parçayı ikiye ayırıp, bunlar üzerinde yola uzaklıkları en büyük olan noktaların uzaklıklarını alırsak, bölgeyi enleri aynı fakat boyları farklı iki dikdörtgenle üstten sınırlandırabiliriz. Bu dikdörtgenlerin alanlarının toplamı bölgenin alanı için daha iyi bir tahmin olur.
Güzel bir yakla¸sım. Hemen ölçümleri vereyim o zaman: 1. parçada yola en uzak nokta 30 metre, 2. parçada en uzak x nokta 35 metre uzaklıkta olsun. Ben de hesabı yapayım. Dikdörtgenlerin alanları toplamı: 30 · 7 + 35 · 7 = (30 + 35)· 7 = 65 · 7 = 455 m2 oldugundan bu dikdörtgenlerin olu¸sturdu ˘ gu bölgeyi ye¸sillendirmenin ˘ toplam maliyeti: 455 · 25 = 11375 lira olur.
Alan hesaplamalarının tarihçesi nereye dayanmaktadır?
Mısır ve Babil’de nehirler taşar ve yön degiştirirdi. Nehirler yataklarını degistirdikçe bazı çiftçiler topraklarını kaybederken bazıları yeni topraklar kazanırlardı. Ödenecek vergiler sahip olunan toprakların alanına göre belirlendigi için nehir kıyısındaki düzensiz sekilli arazilerin alanlarını sık sık hesaplamak gerekirdi.
Babilller ve Mısırlılar zamanında alan hesaplamaları nasıl yapılıyordu?
Babilliler ve Mısırlılar, üçgen ve dörtgenin alan hesabını bildiklerinden, alan ölçümlerini üçgenlerin ve dörtgenlerin alanlarına dayandırarak hesaplıyorlardı
Tüketme yöntemi ile belirsiz şekillerin alanları nasıl hesaplanır?
Öncelikle alanını hesaplayabileceğimiz çokgenler kullanarak bölgeyi dıştan kuşatıyoruz. Daha sonra da bölgenin tamamen içinde kalan, yine alanını hesaplayabileceğimiz çokgenlerle bölgenin sınırına içten yaklaşıyoruz. Böylece bölgeyi dıştan ve içten kuşatıp bu çokgenlerin kenar sayılarını adım adım arttırarak, bölgenin alanını istenilen hassasiyette hesaplayabiliyoruz.

İntegral hesabında Alt toplamlar ve üst toplamlar neyi ifade etmektedir?

Bu toplamlara sırasıyla B bölüntüsüne karşı gelen alt ve üst toplamlar denir.
Belirli integral tanımını alt ve üst toplamlar cinsinden nasıl yaparız?

Fonksiyon sürekli olduğu için bölüntü sayısı sonsuza ve alt aralıkların uzunluğu sıfıra giderken alt ve üst toplamların aynı sayıya yakınsadığı gösterilebilir. Bu sayıya A dersek;
![]()
Bu A sayısına f ’nin [a, b] aralığı üzerindeki belirli integrali denir.
Belirli integralin degeri hangi durumda negatif hangi durumda pozitif olur?


verilen grafiğe göre
’in degeri nedir?

Bir fonksiyonun ilkeli nasıl tanımlanır?
Belli bir (a, b) aralıgındaki tüm x’ler için F(x) fonksiyonunun türevi f (x) fonksiyonuna eşit ise, yani F'(x) = f(x) oluyorsa, F(x) fonksiyonuna f (x)’in bir ilkeli denir
Bir f(x) fonksiyonu için belirsiz integrali matematiksel olarak nasıl tanımlarız?
Belli bir (a, b) aralıgında F(x) fonksiyonu, f(x) fonksiyonunun bir ilkeli ise, F(x) + c ailesine f(x) fonksiyonunun belirsiz integrali denir ve

şeklinde gösterilir.
integralini hesaplayınız.


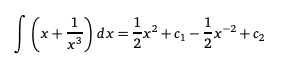
Integral sabitlerinin toplamına c = c1 + c2 dersek;

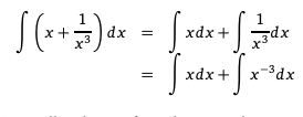
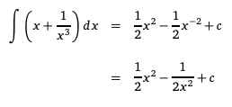
integralini bulunuz.

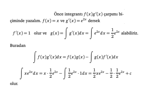
integralini iki fonskiyonun çarpımı şeklinde olan fonskiyonların inetgral hesabından yararlanarak bulunuz.

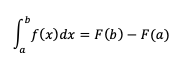
İntegralin temel teoremi nedir?
f , [a, b] aralıgında sürekli bir fonksiyon ve F, f fonksiyonunun bir ilkeli ise
olur.
integralini integralim temel teoremini kullanarak hesaplayınız.
Daha önceki bilgilerimizden; f (x)’in belirsiz integrali
oldugundan, c sayısının herhangi bir seçimi için f (x)’in bir ilkelini buluruz. Örnegin c = 0 alırsak;
olur. Buradan;
olur.
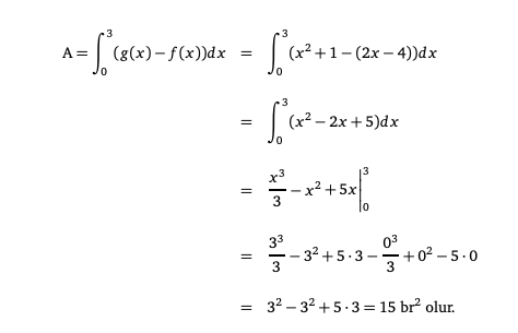
Belirli integrali kullanarak iki egri ile sınırlanan alanı hesaplayabiliriz. [a, b] aralıgı üzerinde sürekli ve bu aralık üzerinde f (x) ≤ g(x) eşitsizligini sağlayan f ve g fonksiyonları verilsin. Fonksiyon degerleri arasındaki bu eşitsizlik, f’nin grafiğinin tamamen g’nin grafiğinin altında oldugunu söyler. Bu iki grafik arasındaki alana A dersek A sayısı nasıl olur?
belirli integrali ile belirlenebilir.
[0, 3] aralıgındaki tüm x’ler için oldugunu söyleyebiliriz. Bu eğrilerle sınırlı alan

Sürekli bir fonksiyonun ortalama degerini günlük hayatta nerede karşımıza çıkabilir?
Bir şehre su saglayan bir barajın içindeki su seviyesi sürekli bir degişim gösterir. O halde barajdaki su seviyesi zamanın sürekli bir fonksiyonudur. Su seviyesinin, saatlik, günlük, haftalık, aylık ya da yıllık ortalamalarını bilmek isteyebiliriz. Bunu da su seviyesi fonksiyonunun belirli integralini kullanarak hesaplayabiliriz.
Sürekli bir f (x) fonksiyonunun [a, b] aralığı üzerindeki
ortalama degeri matematiksel olarak nasıl gösterilir?

integralini hesaplayınız.
