Exponential and Logarithmic Functions
How can we define exponential function ?
The function f is called exponential function with base if
![]()
where a > 0, a ≠ 1 and x is any real number.
If the exponent equals 1, what can be said about the function?
For an exponential function
, the base a should not be equal to 1. If the base is 1, then it yields
or all real numbers x. This is a constant function, not an exponential function.
For the exponential function
what does it equal with different values of x?

According to the values given above in the table, what is the graph for the function ?

How would graphs of the functions 2-x and 2x be?

What are the basic properties of the exponential function ax for a >1?
1. Domain of the exponential function ax is (-∞, ∞),
2. Range of the exponential function ax is (0, ∞),
3. The exponential function ax is increasing,
4. As x goes to minus infinity, ax approaches zero.
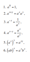
What are included in the lwas of exponents?

If an amount of money A is invested n times per year with an annual rate of 10% per annum compounded, then at the end of one year, what will we have?
![]()
If 10.000 TL is invested for 4 years at an annual rate of interest of 12%, find the value of the investment at the end of 4 years if interest is compounded annually.
The net profit at the end of the first year is


For the logarithmic function log2x, how is the table of values for various rational values of x?
![]()
How is the graph of the logarithmic function loga x where a >1?

For a > 1, what fundamental properties does the logarithmic function loga x have?
1. Domain of the logarithmic function loga x is (0, ∞)
2. Range of the logarithmic function loga x is (-∞, ∞)
3. loga x is an increasing function.
For 0 < a < 1, what fundamental properties does the logarithmic function loga x have?
1. Domain of the logarithmic function loga x is (0, ∞),
2. Range of the logarithmic function loga x is (-∞, ∞),
3. loga x is a decreasing function.
What is natural logarithmic function?
The logarithmic function with base e is called the natural logarithmic function and is denoted by lnx = loge x, x > 0
What is common logarithmic function?
The logarithmic function with base 10 is called the common logarithmic function.
For any number x > 0 and y > 0, what properties does the logarithmic function loga x have?

If the half-life of 100 grams of radioactive material is 2000 years, how much of the 100 grams will remain after 1000 years?


The population of bacteria in a culture is increasing and the rate of increase is proportional to the number of bacteria present in the culture. If initially the culture contains 50 bacteria and at the end of 2 hours there are 500 bacteria in the culture, how many bacteria will be present at the end of 5 hours?
If we determine the constant P0 and k, we will have found the precise form of the function P(t) exactly. It is given that there are 50 bacteria initially so we take t=0 as the initial time, then

is obtained. Since there are 500 bacteria in this culture at the end of 2 hours, one can obtain
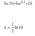
If we take ln both of sides of the equation 10 = ek.2,
is obtained. As a result, the function that gives the number of the bacteria present at time t is
Now we can calculate the number of bacteria after 5 hours in the culture as
Intensity is the degree of the wave energy of an earthquake. Find the intensity per unit of area for the earthquake; İzmit August, 17th 1999, M = 7,4.

Intensity is the degree of the wave energy of an earthquake. Find the intensity per unit of area for the earthquake; Dinar (Afyon) October, 1th 1995, M = 6,1.
