aofsorular.com
İKT204U

Mal ve Para Piyasası Arasındaki İlişkiler

4. Ünite 21 Soru
S

IS – LM modelinde faiz oranı ile ilgili varsayım nedir?

IS – LM modelinde faiz oranının sabit olmadığı ve dolayısıyla her faiz oranına farklı bir gelir düzeyi denk geleceği varsayımı bulunur.

S

IS – LM Modeline göre toplam planlanan harcama denklemi nasıl oluşur?

IS – LM Modeline göre toplam planlanan harcama denklemi şöyle oluşur:
AE = C0 + c (Y + TR – T) + I0 – bi + G0
AE = C0 + cY + cTR0 – cT0 – ctY + I0 – bi + G0

S

IS eğrisi üzerindeki tüm noktalar içim ne geçerlidir?

IS eğrisi üzerindeki tüm noktalar itibariyle yatırım tasarruf eşitliğinin (I=S) sağlanıyor olmasıdır.

S

IS eğrisinin eğimi neyi ifade eder?

IS eğrisinin negatif (-) eğimli şekli, faiz oranındaki düşüşle birlikte yatırımların artarak denge milli gelir düzeyini de artıracağını ortaya koymaktadır.

S

IS eğrisinin denklemi nasıl yazılır?

IS eğrisinin denklemini gösteren i = (1/b)*A0 − [1/(keb)]*Y eşitliğinden yararlanılabilir.

S

IS eğrisinin eğimi neylere bağlıdır?

Çarpan katsayısının (ke) = 1/[1-c(1-t)], olduğu bilgisinden hareketle çarpan katsayısını yüksek yapan yüksek marjinal tüketim eğilimi değeri (c) ve düşük marjinal vergi haddinin (t) IS eğrisinin eğimini azaltarak daha yatık hale getireceği göz ardı edilmemelidir.

S

Otonom harcama unsurlarında meydana gelen bir azalış da IS eğrisini nasıl kaydırır?

Otonom harcama unsurlarında meydana gelen bir azalış da IS eğrisinin bütün olarak sola doğru kaymasına neden olacaktır.

S

Mal piyasasında denge ne zaman ortaya çıkar?

Mal piyasasında denge, (AE=Y) ve (I=S) gibi koşullar sağlandığında ortaya çıkar.

S

John M. Keynes, geliştirmiş olduğu Likidite Tercihi Teorisi’nde ekonomik birimlerin para talebi kararları hangi başlıklarda incelemiştşr?

John M. Keynes, geliştirmiş olduğu Likidite Tercihi Teorisi’nde ekonomik birimlerin para talebi kararlarını “işlem”, “ihtiyat” ve “spekülasyon” şeklinde üç başlık altında incelemiştir.

S

Gelirde meydana gelen değişimler para talep eğrisine nasıl etki eder?

Gelirde meydana gelen değişimler para talep eğrisinin bütünüyle sağa ya da sola kaymasına neden olmaktadır.

S

IS-LM Modelinde otonom para talebi neden dikkate alınmamaktadır?

IS-LM Modelinde ekonomik karar birimleri servetlerini para ve tahvil olarak dağıttığı için para talebinin belirleyicileri gelir ve faiz dışında bir diğer değişken olmayacağından modelde otonom para talebi (L0=0) dikkate alınmamaktadır.

S

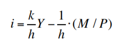
LM eğrisinin denklemi nasıl yazılır?

LM eğrisinin denklemi şu şekilde yazılır: LM denklemi

S

Reel para arzında meydana gelen değişim neylerle değişir?

Reel para arzında meydana gelen değişim para talebinin gelire olan duyarlılığının (k) tersiyle çarpımı kadar denge milli gelir düzeyini (∆Y) değiştirecektir.

S

Para piyasasında dengesizlik ne zaman olur?

Para piyasasında dengesizlik denildiğinde para arz ve talebinin birbirine eşit olmaması durumu ifade
edilir.

S

Zaman Tutarsızlığı nedir?

Para politikasının gelir üzerindeki etkisinin dolaylı olarak ve belli bir gecikmeyle ortaya çıkması durumu literatürde “Zaman Tutarsızlığı” olarak adlandırılmaktadır.

S

Likidite Etkisi nedir?

Para otoritesinin reel para arzında meydana getireceği değişikliğin faiz oranı üzerindeki etkisi “Likidite Etkisi” olarak adlandırılmaktadır.

S

Gelir Etkisi nedir?

Faiz oranında meydana gelen değişikliklerin toplam harcamalar üzerinden dolaylı olarak gelir
düzeyini etkilemesi “Gelir Etkisi” olarak dlandırılmaktadır.

S

Dışlama Etkisi (CrowdingOut Effect) nedir?

Yükselen faiz ortamında ekonomik birimlerinin yatırımlarını ve harcamalarını kısarak denge milli gelirde meydana gelen artışın bir kısmının kaybedilmesiyle sonuçlanan bu süreç “Dışlama Etkisi (CrowdingOut Effect)” olarak adlandırılmaktadır.

S

Yatırımların Faize Tam Duyarsız Olması Durumunda (b=0) para politikası nasıl işler?

Yatırımların faize tam duyarsız olduğu (b=0) mal piyasasındaki bu özel durumu ifade eden IS
eğrisiyle, para piyasasındaki dengeyi gösteren alışılmış pozitif eğimli LM eğrisinin kesişimi makroekonomik dengeyi ifade eder. Para otoritesinin reel para arzını artırmasıyla topyekün bir biçimde sağa doğru kayan LM eğrisi IS eğrisine eşitlenerek denge faiz oranının düzeyine düşmesine karşın, yatırım ve harcamaların faiz oranındaki hareketlere duyarsız olması nedeniyle toplam planlanan harcamaları artıramamış ve denge milli gelir bir önceki durumda olduğu gibi aynı düzeyinde kurulmuştur.

S

LM eğrisinin özel durumları nelerdir?

Makroekonomik dengenin sağlanmasında IS ve LM eğrilerinin eğimlerinin farklılaşabildiği bazı
özel durumlar bulunabilmektedir. Para talebinin faize olan duyarlılığının sonsuz olduğu (h=∞), para
talebinin faize duyarlılığının hiç olmadığı (h=0) durumlar LM eğrisi için özel durumları gösterirken, şüphesiz bu durumlarda makroekonomik denge alışılmışın dışında bir biçimde sağlanacaktır.

S

IS eğrisinin özel durumları nelerdir?

Makroekonomik dengenin sağlanmasında IS ve LM eğrilerinin eğimlerinin farklılaşabildiği bazı özel durumlar da bulunmaktadır. Para talebinin faize olan duyarlılığının sonsuz olduğu (h=∞), para talebinin faize duyarlılığının hiç olmadığı (h=0) durumlar LM eğrisi için özel durumları gösterirken, yatırımların faize duyarsız (b=0) olması da IS eğrisi için özel durum sapmasını ortaya koymaktadır. Şüphesiz bu durumlarda makroekonomik denge alışılmışın dışında bir biçimde sağlanacaktır.