Tedarik Zinciri ve Ağ Tasarımı
2010’larda lojistik sistemlerinin ilgi odağında neler yer almıştır?
2010’larda iletişim sistemlerinin gelişmesi, e-ticaretin yaygınlaşması ve maliyet baskılarının artması ile birlikte; büyük veriye dayalı, dijital dönüşüm hedefli topyekûn sistem iyileştirmeleri yer almıştır.
Tedarik zinciri nedir?
Müşterinin talebini karşılamak üzere doğru ürünü, doğru miktarda, doğru zamanda ve doğru yerde hazır etmek lojistiğin en genel tanımıdır. Lojistik sistemindeki tüm bileşenleri ve faaliyetleri içinde barındıran, hammadde tedarikçisinden müşteriye kadar uzanan, mal ve bilgi akışının yürütüldüğü ağa tedarik zincir diyoruz.
Tedarik zinciri ne tür faaliyetleri içerir?
Bu ağ, yani tedarik zinciri, tedarikçi, imalatçı, depo, dağıtımcı ve perakendeciyi arasındaki taşımacılık, paketleme, depolama, muayene, gözetim ve denetim, sipariş gibi faaliyetleri içerir. Bu faaliyetlerin yürütülmesi sırasında bilgi paylaşımı ve aktarımı da tedarik zincirindeki paydaşlar arasındaki koordinasyonu sağlar.
Tedarik zinciri için hangi düzeydeki kararlar bütünsel bakış açısı ile alınmalıdır?
Tedarik zinciri için stratejik, taktik ve operasyonel düzeydeki kararlar bütünsel bakış açısı ile alınmalıdır.
Tedarik zincirinde; stratejik düzeydeki kararlar nelerdir? Açıklayınız.
Tedarik zincirinde stratejik seviye kararlar kaç tane üretim/depolama tesisi bulunacak, bunların yerleri nerede olacak, kapasiteler ne olacak gibi uzun vadeli ve kolaylıkla değiştirilemeyecek kararları içerir. Tedarik zincirinin paydaşları arasındaki bilgi ve veri paylaşımını sağlayacak olan bilgi sistem altyapısı ve dijital dönüşüm de stratejik seviye kararlar arasındadır.
Tedarik zincirinde; taktik düzeydeki kararlar nelerdir? Açıklayınız.
Taktik seviye kararlar orta vadelidir ve satın alma, üretim, stok kararları, ulaştırma modlarının seçimi, müşteri kontratları gibi kararları içerir.
Tedarik zincirinde; operasyonel düzeydeki kararlar nelerdir? Açıklayınız.
Operasyonel seviye kararlar araç rotalama, depo yerleştirme, araç yükleme ve boşaltma, iş çizelgeleme, üretim planlama gibi kısa vadeli kararları içerir.
Tedarik zincirindeki karar seviyeleri için genel amaçlar nelerdir?
Karar seviyeleri için genel amaçlar şunlardır:
- Müşteri memnuniyetini arttırma
- Maliyetleri azaltma
- Talep karşılama oranını arttırma
- Verimliliği arttırma
- Kapasite kullanım oranını arttırma
- Üretimde devamlılık
- Talep tahmininde hassasiyet
- Değişen şartlara hızlı uyum sağlamak
- Sürdürülebilirlik
“Yalın Tedarik Zinciri” nedir? Açıklayınız.
Değer katmayan her türlü işlem ve faaliyetin ortadan kaldırılması sonucu oluşan tedarik zincirine “Yalın Tedarik Zinciri” denir. Ortadan kaldırılması hedeflenen atık ve kayıplara örnek olarak: fazla stoklar, gereksiz işlemler, hatalı ürünler, gereksiz taşıma ve beklemeler, gereksiz hareketler verilebilir. Bu atık ve kayıplar değer katmayan işlem ve faaliyetlerdir. Yalın yaklaşım sonucunda değer katmayan işlem ve faaliyetlerin ortadan kaldırılması ile birlikte maliyetler azalır, kalite artar, stoklar azalır, ürün çevrim süreleri azalır, müşteri memnuniyeti artar. Tedarik zinciri boyunca olabilecek hatalı karar ve uygulamalar sonrası atıkların oluşması engellenmelidir. Tedarik zinciri boyunca akışların uyumlu hale getirilmesi ile birlikte beklemeler ve stok azalacaktır. Tedarik zinciri paydaşları arasında rekabet ve işbirliğini dengeleyecek ortak çalışmaya dayalı ilişkiler tesis etmek gerekir. Bilgi paylaşımı işbirliğini arttıracaktır. Paydaşlar arasında güven oluşturulmalıdır. Tedarik zinciri içerisindeki ürün, sipariş ve diğer bilgi akışlarının takip edilebilmesi ortak ya da birbiriyle konuşabilen bilgi sistem teknolojilerini ve altyapılarını gerektirir. Tedarik zincirinde talepten başlayarak üretime kadar her işlem ve aşama ile ilgili belirsizlikler ve riskler bulunmaktadır. Yalın tedarik zincirinde belirsizlik ve riskler iyi yönetilmelidir.
“Çevik Tedarik Zinciri” nedir? Açıklayınız.
Değişken ve oynak piyasa koşullarına ve talebe duyarlı, bu koşullara hızlı karşılık veren tedarik zincirine Çevik Tedarik Zinciri denir. Çeviklik, değişime olan hazırlık ve yatkınlık olarak tanımlanabilir. Çevik tedarik zincirinin ana unsurları sürat, maliyet ve verimliliktir. Çevik tedarik zincirleri müşteri taleplerine olan duyarlılık üzerine kurgulanır. Çevik tedarik zincirlerinde bilgi paylaşımı çok önemlidir. Piyasa koşullarındaki yani talepteki olabilecek değişiklik ya da değişiklik göstergeleri tüm tedarik zinciri paydaşları arasında hızlıca paylaşılmalıdır. Tedarik zinciri boyunca planlama ortak bir biçimde yapılmalıdır. Tedarik zinciri boyunca süreçlerin uyumlu hale getirilmesi gerekir. Stok yönetimi çevikliği sağlamak üzere şekillendirilmelidir. Tedarik zincirindeki her aktör kendi başarısı yerine zincirin başarısına odaklanmalıdır. Bu şekilde eşgüdüm ve işbirliği artacak, tedarik zinciri değişikliklere hızlı yanıt verebilir duruma gelebilecektir.
“Dijital Tedarik Zinciri” nedir? Açıklayınız.
Dijital teknolojinin tedarik zincirine tam entegrasyonu ile oluşacak sisteme Dijital Tedarik Zinciri denir. Dijital Tedarik Zincirinde sensörler, robotik sistemler, bulut bilişim sistemleri, siber-fiziksel sistemler, insansız araçlar ve sistemler, büyük veri toplama/depolama/işleme ve analitiği gibi yetenek ve sistemlerinde entegre edilmiş halde olurlar. Tedarik zincirinde bu teknolojilere örnek olarak RFID sistemleri, barkod/karekod sistemleri, GPS takip sistemleri, akıllı etikler, kablosuz sensör ağları, insansız kara/deniz/hava araçları, blokzincir teknolojisi sayılabilir. Özetle dijital tedarik zinciri sistemi, global iletişim ve etkileşimi destekleyen, tedarik zincirindeki paydaşların faaliyetlerini düzenleyen sistemlerden oluşur.
Tedarik zinciri ağ tasarımında neleri dikkate almak gerekir?
Ağ tasarımının doğru yapılması tedarik zincirinin verimlilik ve etkinliğine doğrudan etki edecektir. Ulaştırma maliyetleri ürün fiyat ve maliyetine doğrudan etki eder. Seçilecek yerin ulaştırma maliyetine olan etkisi göz önünde bulundurulmalıdır. Tesisler için yer seçiminde farklı ulaşım modları ile hizmet sunabilmek adına, denizyolu, havayolu ve karayoluna mesafeler de önemli bir kriter olabilecektir. Ürün akışının sürekli, hızlı ve düşük maliyetlerle sağlanması ana amaçtır. Ancak müşteri beklentilerindeki çeşitlilik nedeniyle ulaştırmada farklı seçenekler yaratabilmek rekabet avantajı sağlayacaktır. Yer seçiminde coğrafi ve atmosferik koşul/ özellikler de birer kriter olabilmektedir. Zorlu hava şartlarının olduğu coğrafi bölgelerde tesis kurmanın ve işletmenin doğrudan maliyetlere etki edebileceği, hizmet seviyesini olumsuz etkileyebileceğini ve de yönetilmesi gereken riskin artacağını göz önünde bulundurmak gerekir. Bu durumlarda riski azaltmak ve hizmet seviyesi taahhüdünü sağlamak üzere tesis sayısını arttırmak gerekebilir. Deprem, su taşkını, toprak kayması gibi doğal afetler kontrolümüz dışında olan ancak tedarik zincirinin performansını etkileyen olaylardır. Vergi ve maliyet avantajları ile çevreye olan etkileri de yer seçimine etki eder. Hammade, nitelik ve nicelik olarak işgücü, pazar büyüklüğü tedarik zinciri ağındaki tesislerin yerini seçmede tercihleri etkileyecek faktörlerdir.
Tedarik zinciri ağ tasarımında depolama tesislerinin önemini açıklayınız.
Hazırlık ve kurulum maliyetleri ile stok tutma maliyetlerini dengeleyecek bir üretim planı yapmak depolama gereksinimini ortadan kaldırmayacaktır. Üretim zamanlaması ve miktarının talep ile uyumlu hale getirilmesi, ürünün müşteriye sunulma zamanını uzatacaktır. Gerek imalat tesisleri ile müşteri arasındaki mesafe gerekse üretimde geçecek olan süre talebin karşılanmasında gecikmelere yol açabilecek ve müşteri memnuniyeti azalabilecektir. Bunun yerine müşteriye olabildiğince yakın bir konumda ürün depolamak, müşterinin talebine daha hızlı yanıt vermeyi sağlayacaktır. Müşteri siparişleri çoğunlukla karma ürünleri içerir. Farklı imalatçıların ürünlerini ortak bir alanda depolamak ve bu depodan müşterinin gereksinimlerine uygun biçimde karma siparişlerin hazırlanması ve tek parti halinde gönderilmesi verimliliği arttıracak, maliyetleri de düşürecektir. Tedarik ve talep miktarının mevsimsellik göstermesi durumunda da benzer şekilde yüksek talep ve arzın olduğu zaman dilimleri için depolama gereksinimi doğacaktır. Özetle, ekonomik, zaman, müşteri memnuniyeti gibi gerekçeler ile tedarik zincirinde depolama ihtiyacını ortadan kaldırmak mümkün değildir. Bu nedenle depolara gerek duyulur. Bu durumda önemli olan kaç tane deponun, hangi konumlarda bulunacağı ve kapasitelerinin ne olacağı gibi sorunları tedarik zinciri ağının tasarımında belirlemektir.
Tedarik zincirinin ağ tasarımının en büyük amaç nedir? Hedefleri nelerdir?
Tedarik zincirini ve bu zincir boyunca alınacak kararları yönlendiren tek unsur müşteri talebidir. En büyük amaç müşteri taleplerini karşılamaktır. Tedarik zincirinin varlık sebebi budur. Tedarik zincirinin ağ tasarımı kârlılık, maliyet, etkinlik, verimlilik gibi hedeflerle yapılır.
Tedarik zinciri ağ tasarımının müşteriye yansıyan unsurları nelerdir?
Tedarik zinciri ağ tasarımının müşteriye yansıyan unsurlarını şu şekilde sıralayabiliriz:
- Tepki zamanı
- Ürün çeşitliliği
- Ürünün bulunması
- Müşteri deneyimi
- Sipariş görünürlüğü
- İade edebilme
Tedarik zinciri ağ tasarımının müşteriye yansıyan unsurlarından "tepki zamanı" nedir? Açıklayınız.
Tepki zamanı; müşterinin talebinin oluşması ile talebin karşılanması arasındaki süredir. Tepki zamanın mümkün olduğunca kısa olması istenir. Bir ürün almak üzere mağazaya giden bir müşteri, istediği ürünü rafta bulup alabiliyorsa tepki zamanı sıfırdır. İnternet üzerinden yapılan alışverişlerde sipariş verilmesinden itibaren ürünün kurye tarafından müşteriye teslim edilmesine kadar geçen süre de tepki zamanıdır. Satıcı müşteriye bir tepki zamanı taahhüdünde bulunabilir, bu durumda tepki zamanı taahhüdüne uyulması beklenir.
Tedarik zinciri ağ tasarımının müşteriye yansıyan unsurlarından "müşteri deneyimi" nedir? Açıklayınız.
Müşteri deneyimi; müşterinin tedarik zinciri ile etkileşiminin müşteri üzerinde yarattığı etkidir. Sipariş verme, ödeme yapma, ürünü teslim alma işlemlerindeki kolaylıktır. Her müşteri satın aldığı ürün ya da hizmetle birlikte deneyim de satın alır. Ürün ne kadar iyi ve kaliteli olursa olsun müşterinin deneyimi olumsuz olabilir. Müşteri etkileşiminin ne kadar sorunsuz olduğunu önemser. Bir ürünün geç teslim edilmesi müşteriyi hayal kırıklığına uğratabilir. Satın aldığı üründen beklediği fayda ürünün geç teslim edilmesi nedeniyle elde edilemez hale gelebilir.
Tedarik zinciri ağ tasarımının müşteriye yansıyan unsurlarından "sipariş görünürlüğü" nedir? Açıklayınız.
Sipariş görünürlüğü; ürünlerin imalatçısından itibaren müşteriye ulaşana kadar geçen sürede hareketlerinin ve konumunun izlenebilmesidir. Özellikle e-ticaret uygulamalarının yaygınlaşması ile birlikte, müşteriler siparişlerinin durumlarını ve konumlarını bilmek istemektedir. Tedarik zincirinin dijitalleşmesi ile birlikte ürün takibini yapabilmek ve müşteriye bilgi sunabilmek kolaylaşmaktadır. Müşteriler açısından da siparişlerinin görünürlüğü bir beklenti haline gelmiştir. Sipariş görünürlüğü tedarik zincirinde bulunan tüm paydaşlar arasında anlık ve doğru bilgi paylaşımını zorunlu kılmaktadır.
Bir karar ağacı hangi bileşenlerden oluşur?
Bir karar ağacı şu bileşenlerden oluşur:
- Karar noktaları
- Karar dalları
- Şans noktaları
- Şans dalları
- Son noktalar

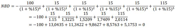
Yukarıda verilen projede oluşan net nakit akışları son satırda verilmiştir. Bu projeyi değerlendiren işletmenin %15 getiri beklediğini düşünürsek projenin net bugünkü değerini (NBD) hesaplayınız.

Projenin net bugünkü değeri sıfır çıktığı için işletmenin beklediği kazancı veriyor demektir. Bu da projenin yapılabilir olduğu anlamına gelir.