GÜÇ AKIŞI
Üç-fazlı, dengeli ve yatışkın-durum koşulları altında enerji sistemlerinde hesaplanan güç akışı, hangi durumlarda geçerliliğini korur?
Üç-fazlı, dengeli ve yatışkın-durum koşulları altında enerji sistemlerinde hesaplanan güç akışı, aşağıdaki durumlarda geçerliliğini korur.
• Jeneratörlerin, şebekeye bağlı tüm yük taleplerini ve iletim hatlarındaki toplam güç kaybını karşıladıkları kabul edilir.
• Bütün baralara ait gerilim genliklerinin, nominal gerilim sınırları içerisinde olduğu varsayılır.
• Jeneratörlerin, kendilerine ait güç sınırlarını aşmadıkları kabul edilir.
• Transformatör ve iletim hatlarının, aşırı yüklenmedikleri varsayılır.
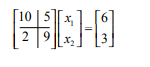
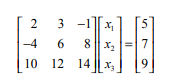
Lineer denkler kümeleri matris formatında nasıl ifade edilebilir?
olarak ifade edilebilir.
denklemi, geri-çıkarım ve Gauss elemesini kullanarak çözünüz.

denklemi, üçgenselleştirmek için Gauss eleme yöntemini kullanınız.

Gauss elemesi ve geri-çıkarım için bilgisayar tarzı matematik işlemcilerin nelere gereksinimi vardır?

Gauss elemesi ve geri-çıkarım ne işlemi gerektirir?

Jacobi yöntemini kullanarak
çözün. Başlangıç koşulları için;
ile başlayın ve
için
şartı sağlanıncaya kadar çözüme devam edin.

Gauss-Seidel yöntemi ve Jacobi yönteminin farkı nedir?
Gauss-Seidel yönteminin yakınsama hızı bazı A matrisleri için Jacobi’ye göre daha hızlı iken, diğer bazı A matrisleri için Jacobi yönteminin yakınsama hızı GaussSeidel’e göre daha hızlı olabilmektedir. Bazı durumlarda ise bir yöntem sonuca yakınsarken diğeri çözümden uzaklaşabilmektedir.
Lineer olmayan denklemlerinin matris formunda ifadesi nedir?

Newton-Raphson yöntemi nedir?
Lineer olmayan denklemler için (6.24)’teki D matrisinin belirtilmesi gerekir. D matrisinin belirtilmesi için kullanılan yönteme Newton-Raphson yöntemi adı verilir.
Newton-Raphson yönetiminin temeli nedir?
![]()
Jacobian matrisi nedir?
(6.29)’da elemanları kısmi türevli olarak gösterilen NxN ’lik J matrisi Jacobian matrisi olarak adlandırılır.
Newton Raphson metodunun Gauss-Seidel metodundan farkı nedir?
deki D ’nin yerini, (J)i ’nin alması haricinde, Newton Raphson metodu, genişletilmiş Gauss-Seidel yöntemi ile benzerdir.
Newton-Raphson yöntemi ile çözünüz.

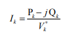
Güç akışı problemi nedir?
Güç akışı problemi; dengeli 3-fazlı ve yatışkın durumdaki güç sistemlerinde, herbir bara üzerindeki gerilim büyüklüğünün ve faz açısının hesaplanmasıdır. Bu hesaplamanın sonucunda; iletim hattı ve trafolar gibi şebeke elemanlarındaki aktif ve reaktif güç akışları bulunur ve elemanlar üzerindeki güç kayıpları hesaplanır. Güç akışı probleminin başlangıç noktası; güç sistemlerinde, bilgisayar çözümleri için gerekli olan giriş verilerinin alınabildiği tek-hat diyagramıdır. Giriş verileri temel olarak; bara, iletim hattı ve transformatör verilerinden oluşur.
Herbir k barası hangi farklı bara tipinden birine göre sınıflandırılır?

Gauss-Seidel yöntemi ile güç akışı çözümü nasıl hesaplanır?
için Gauss-Seidel yöntemi düğüm denklemlerine uygulandığında,
elde edilir.
Gauss-Seidel ve Newton-Raphson yöntemleri güç akışı problemlerinde karşılaştırıldığında ne sonuca varılabilir?
Gauss-Seidel ve Newton-Raphson yöntemleri karşılaştırıldığında; güç akışı problemlerinden elde edilen tecrübeler gösteriyor ki, Jacobi ve Gauss-Seidel öntemlerinin çözüme ıraksadığı birçok durumda Newton-Raphson yöntemi çözüne yakınsamaktadır. Ayrıca; Newton-Raphson yönteminde yakınsama için gerekli olan tekrarlama sayısı N bara sayısından bağımsız iken, Jacobi ve Gauss-Seidel yöntemlerinde bu sayısı N kadar artmaktadır. Jacobi ve Gauss-Seidel yöntemlerinin bilgisayarda kullanılan hafıza ve düşük hesap yetenekleri bakımından avantajı olmasına rağmen, günümüz teknolojisi ile Newton-Raphson yöntemi diğer Jacobi ve Gauss- eidel’e göre daha çok tercih edilir ve bu yöntemle güvenilir hesaplamalar yapılır.
Hızlı ayrışık güç akışı yöntemine neden ihtiyaç duyulmuştur?
Çok fazla baraya ve iletim hattına sahip olan büyük boyutlu enerji şebekelerinin izlenmesi ve kontrolü amacıyla ana bilgisayarda sık sık güç akışı programı çalıştırılıp güç akışı hesabı yapılır. Yöntem olarak Newton-Raphson seçilmişse, sistemin büyümesi Jacobian matrisini de oldukça büyütür. Böylece, bilgisayarın hafıza gereksinimi artar ve yöntemin sonuca yakınsama zamanı uzar. Hızlı ayrışık güç akışı yöntemleri bu olumsuzlukları azaltmak için geliştirilmiştir.
Güç akışı hangi şekillerde kontrol edilir?
Güç akışı genel olarak aşağıdaki üç şekilde kontrol edilir;
1. Jeneratörlerin uyartım kısımlarının kontrolü
2. Şönt kapasitör, şönt reaktör ve statik VAR sistemlerin anahtarlanması
3. Regüleli ve kademe değiştiricili transformatörlerin kontrolü