İNTEGRAL VE UYGULAMALARI
Çokgensel bir bölge nedir?
Düzlemde sonlu sayıda dogru parçasının uç uca eklenmesiyle oluşturulan kapalı bölgeye çokgensel bir bölge denir
Riemann toplamı nedir?
Riemann toplamı, bir eğrinin altındaki alanı çok sayıda basit şekle (dikdörtgenler veya yamuklar gibi) bölerek belirlenmiş olan, bu alanın yaklaşık değeridir.

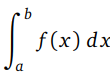
f fonksiyonunun [a, b] aralığı üzerindeki belirli integrali nedir?
Oluşturulan Riemann toplamında bölüntüdeki nokta sayısı artırıldıkça karşılık gelen değerler sabit bir sayıya yaklaşır. Bu sabit sayıya f fonksiyonunun [a, b] aralığı üzerindeki belirli integrali denir ve bu sayı

sembolüyle gösterilir.
İntegral ifadesinde sembollerin anlamı nedir?
sembolüne integral, a’ya integralin alt sınırı, b’ye integralin üst sınırı, f(x)’e integrand, dx’e diferansiyel denir. Buradaki dx ifadesi Riemann toplamındaki ∆x’ten esinlenerek yazılmaktadır ve integralin hangi degişkene göre hesaplandığını belirtir.
belirli integralinin eşiti olan ifade nedir?

Türev ile integral arası bağ nedir?
Türev demek değişim oranı ya da hız demektir. Fonksiyon verildiğinde bunları hesaplayabiliyorduk. İntegral probleminde ise, bir olayın hızını ya da değişim oranını biliyorken, olayın kendi formülünü bulmaya çalışıyoruz.
2x'in ilkeli nedir?
2x’in tüm ilkelleri, uygun bir c için x2+c formundadır. x2+c ¸seklindeki ifadeler c sayısına bağlı bir fonksiyon ailesidir. Bu aileye 2x fonksiyonunun belirsiz integrali denir ve bunun için
gösterimi kullanılır.
y = x2 + c ailesinin bazı üyelerinin grafik gösterimi nasıldır?

f(x)'in ilkeli nasıl tanımlanır?
F(x) fonksiyonunun türevi f(x) fonksiyonuna eşit ise, yani F'(x) = f (x) oluyorsa, F(x) fonksiyonuna f (x)’in bir ilkeli denir.
Belirsiz İntegral nasıl tanımlanır?
F(x) fonksiyonu, f(x) fonksiyonunun bir ilkeli ise, F(x) + c ailesine f (x) in belirsiz integrali denir ve
. Bunu
şeklinde de yazabiliriz
Genelde kullanılan fonksiyonların belirsiz integralleri nasıldır?

Belirsiz İntegral için geçerli olan kurallar nelerdir?

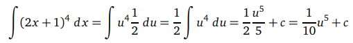
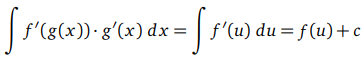
İntegral hesabında "değişken değiştirme ya da yerine koyma formülü" nedir?
u = g(x) türevlenebilir fonksiyonu için du = g'(x) dx ifadesine u’nun diferansiyeli denir ve integral hesaplarında kullanışlı bir araçtır.
integralinde, iki tane fonksiyon türevi ve bileşkeler olduğu için, Verilen integralde u=g(x) denilirse u’nun diferansiyeli du = g'(x) dx olur, bunları
integralinde yazarsak,
eşitliğini buluruz. Verilen bir integrale bu gözle bakılıp, sonra x değişkenine geri dönülebilir.
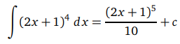
integralinin sonucu nedir?
4.dereceden ifadenin açılımını yapmak çok fazla işlem gerektirir. O nedenle burada değişken değişimi yapmak uygun olur.
u = 2x +1 değişken değişimi ile, du = 2dx olur, buradan da dx = 1/2 du olur. Bu ifadeler integralde yerine yazılırsa;
eşitliği elde edilir. Simdi son ifadede u gördügümüz yere 2x + 1 yazacak olursak istenilen integral
olarak bulunur.
Temel Teorem nedir?
Bir fonksiyonun belirli integrali o fonksiyonun bir ilkeli yardımıyla kolayca hesaplanabilir.

Integral hesaplarında bu fark için
gösterimi kullanılır. Bu gösterime göre Temel Teorem
seklinde de yazılabilir.
belirli integrali neye eşittir?

İntegral yardımı ile iki eğri arasındaki alan nasıl hesaplanır?

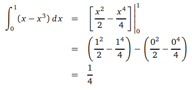
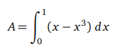
0 ≤ x ≤ 1 olmak üzere y = x doğrusunun altında ve y = x3 eğrisinin üstünde kalan bölgenin alanını hesaplayınız.
Bu bölgenin alanı
seklindeki integralle bulunur. Bu integrali hesaplarsak 
birim kare olur.
f fonksiyonunun verilen bölüntüye göre Riemann toplamı nasıl ifade edilir?
![]()
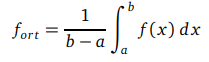
f fonksiyonunun [a, b] aralığı üzerindeki ortalama değeri nasıl gösterilir?
f fonksiyonunun [a, b] aralığı üzerindeki ortalama değeri
seklinde tanımlanır.
Bu eşitlik
şeklinde de ifade edilir.
Elektronik eşsya satan bir mağaza televizyon satışlarını arttırmak için bir kampanya başlatmıştır. Bu kampanya başladıktan x ay sonraki televizyon satışları
fonksiyonu ile veriliyor. İlk 6 ay sonunda, ayda ortalama kaç televizyon satılmıştır?
Bu problemin çözümü
fonksiyonunun [0, 6] aralığı üzerindeki ortalama değerini bulmaktan ibarettir.
