PARANIN ZAMAN DEĞERİ VE FAİZ ORANLARI
Paranın zaman değeri nedir?
Paranın zaman değeri, paranın kullanım zamanındaki tercihi sonucu oluşan değerdir. Beklemenin fiyatı da denilen, eldeki her para biriminin bir değeri bulunmaktadır. Ellerinde belirli bir para mevcudu bulunduran kişilere, bu ellerindeki (tüketimden çektikleri) para karşılığında, gelecekte daha fazla tüketebilme olanağının sunulması gerekir. Elindeki mevcut parasını ilgili dönem değil de gelecek dönem harcamayı kabul eden kişilere sunulan bu fazla tüketebilme olanağı, paranın zaman değeri olarak ifade edilir.
Enflasyon nedir?
Enflasyon, bir bütün olarak mal ve hizmet fiyatlarının artma oranıdır.
Faiz nedir?
Faiz, paranın kirası ya da kullanım bedelidir. Belirli bir miktar para ödünç verildiğinde, anaparanın üzerinde ele geçen her türlü meblağ faiz olarak adlandırılır. Sermayenin bir süre için ödünç verilmesi karşılığı ödenen faiz bir fiyat niteliği taşımaktadır. Faiz, fiyat olarak, ödeme süresinin ve katlanılan riskin bir fonksiyonu şeklinde düşünülebilir.
Faiz oranları ile beklenen enflasyon arasında nasıl bir ilişki söz konusudur?
Faiz oranları beklenen enflasyon için bir prim ihtiva eder. Enflasyon beklentisi ne kadar yüksekse faiz oranları da o kadar yüksek olur.
Fon arz ve talebini dolayısıyla faiz oranlarını belirleyen faktörler nelerdir?
- Merkez Bankası para politikaları,
- Hane halkı tasarruf eğilimi
- Bütçe açıkları,
- Dış ticaret açıkları,
- İşletme faaliyetlerinin düzeyi,
- Uluslararası para akımları
Nominal faiz oranı nedir?
Nominal faiz oranı, piyasalarda en yaygın kullanılan faiz oranıdır. İşlem anında belirtilen ve o anda geçerli olan faiz oranını ifade etmektedir. Yatırılan paranın büyüme oranıdır.
Reel faiz oranı nedir?
Reel faiz oranı enflasyonun etkisinden arındırılmış faiz oranıdır. Sadece, tüketimden vazgeçerek ödünç verilen fonların zaman değerini ve bunların geri ödenmeme riskini içerir. Bir yatırımın satınalma gücündeki artış oranıdır.
Reel faiz oranı nasıl hesaplanır?
Reel faiz oranı= [(1+Nominal faiz oranı) / (1+Enflasyon oranı)] - 1
Piyasada faiz oranı %30, enflasyon oranı %20 olduğu durumda reel faiz oranı nedir?
Reel faiz oranı = [(1 + 0,3) / (1 + 0,2) - 1 = % 8,34
1 yıl vadeli hazine bonosu faizi %12 ve yıllık enflasyon oranı %8 ise reel faiz oranı nedir?
Reel faiz oranı = [(1 + 0,12) / (1 + 0,08)] - 1 = % 3,7
Nominal faiz oranı %10 olan aylık ödemeli bir kredinin efektif faiz oranı nedir?

Efektif faiz oranı = (1+(0,10/12))^12-1=%10,47
Nominal faiz oranı %20 olan üç ayda bir ödemeli bir kredinin efektif faiz oranı nedir?

Basit faiz nedir?
Basit faiz, verilen ödünç miktarı ya da alınan borç üzerinden hesaplanan faizdir. Faizin tekrar faizi söz konusu olmamaktadır. Basit faiz uygulamalarına sık rastlanmamaktadır. Basit faiz, parasını bankaya yatıran ve vade sonunda faiz gelirini anaparaya eklemeyen yatırımcılar tarafından kullanılabilir.
Bileşik faiz nedir?
Bileşik faiz, faizin her bir dönem itibariyle yeniden anaparaya eklenmesiyle elde edilen bileştirilmiş ifadesidir. Bir başka deyişle, bir yatırım dönemi boyunca kazanılan faizin, sonraki dönemde anaparaya ilave edilerek yatırıma tabi tutulması sonucu elde edilen getiriyi gösteren faizdir. Dönem içinde önceden belirlenen sayıda faizin faizi hesaplanabilmektedir. Bugün, finansal kurumlarda genellikle bileşik faiz kullanılmaktadır.
200₺ bir bankaya 6 yıl için %20 basit faizle yatırıldığında, ne kadar faiz alınacaktır?
I = P x r x t
I = 200 x 0,20 x 6 = 240₺
Bugün %25 basit faizle 10.000₺ borçlanan bir işletmenin, 6 ay sonra toplam ne kadar ödemesi gerekir?
S = P x [1 + (r x t)]
t = 6 ay = 0,5 yıl
S = 10.000 x [1 + (0,25 x 0,50)] = 10.125₺
Bir yatırımcı 50.000₺’yi %24 bileşik faizle 5 yıl süreli bankaya yatırırsa beş yılın sonunda ne kadar parası olacaktır?

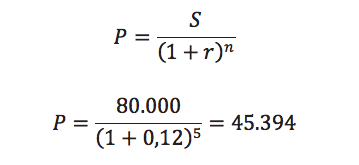
5 yıl sonra 80.000₺ ödeyerek yeni bir bilgisayar satın alabileceksiniz. %12 bileşik faizle bugün ne kadar para yatırırsanız 5. yılın sonunda 80.000₺’niz olur?

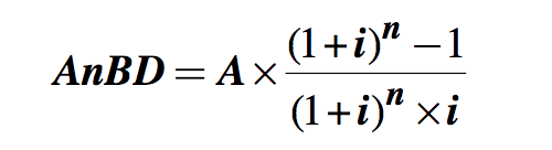
Anüite nedir?
Eşit zaman aralıklarıyla eşit miktarlarda yapılan ödemeler serisine anüite denir.
Bir anüitenin bugünkü değeri nasıl hesaplanır?
AnBD = Anüitenin bugünkü değeri
A = Her dönemde ödenecek taksit tutarı
i = Faiz oranı
n = Dönem sayısı
