Sanayide Enerji Analizi Uygulamaları
Enerji analizinin amacı nedir?
Enerji analizine başlarken sisteme enerji giriş ve çıkış noktaları tespit edilir. Daha sonra bu noktalardan giren ve çıkan enerji miktarlarının hesabı yapılır. Bunun amacı mevcut durumda gerçekte kullanılan ve tüketilen enerji miktarının ortaya çıkarılmasıdır.
Kontrol hacmi nedir?
Giriş ve çıkış noktalarından enerji akışlarının oluştuğu, belirli sınırlar tarafından çevrelenmiş bir sistem kontrol hacmi olarak adlandırılmaktadır. Enerji analizi, belirlenen kontrol hacmine giren ve çıkan enerji miktarlarından yararlanılarak hesaplanır.
Enerji analizinin yapılabilmesi için hangi ölçümlere ihtiyaç vardır?
Enerji analizi, belirlenen kontrol hacmine giren ve çıkan enerji miktarlarından yararlanılarak hesaplanır. Bu hesaplamaların yapılabilmesi için çeşitli ölçüm değerlerine ihtiyaç bulunmaktadır. Bunlar; giriş ve çıkış noktalarına ilişkin sıcaklık, basınç, yoğunluk, debi gibi değerlerdir. Debi birim zamanda belli bir kesitten geçen akışkan miktarıdır.
Sankey diyagramları nedir ve hangi değerleri gösterir?
Enerji analizi çalışmaları ile birlikte, enerji ve kütle denklikleri oluşturulması gerekmektedir. Enerji analizi çalışmalarının sonucunda, enerji giriş ve çıkışı ile enerji miktarlarını şematik olarak gösteren diyagramlar hazırlanır. Bu diyagramlar Sankey diyagramları olarak anılmaktadır.
Enerji analizi çalışmalarının çimento sanayisindeki sürecini açıklayınız.
Çimento sanayi, yoğun enerji tüketen sektörlerin başında yer almakta olup, enerji analizi çalışmalarının bu sektörde önemi büyüktür. Çimento üretim sürecini kısaca şöyle anlatabiliriz:
• Kil, kalker ve diğer hammadde kırılarak hammadde silolarına gönderilir.
• Belli oranlarda karıştırılan hammadde farin değirmeninde öğütülür.
• Farin, buradan ön ısıtıcı üniteye gönderilerek hammaddenin ön kalsinasyonu sağlanır. Kalker, kil ve demir cevherinin belli oranlarda karıştırılan ham madde değirmenlerde öğütülür.
Öğütülmüş bu hammaddeye farin adı verilir. Bir maddenin nemini ve karbondioksit gibi uçucu maddelerini uzaklaştırmak için o maddeyi erime noktasının altında ısıtma (kavurma) işlemine kalsinasyon denir.
• Ön kalsinasyon ünitesinden çıkan hammadde, pişirilmek üzere döner fırına gönderilir.
• Döner fırından çıkan klinker, soğutma ünitesine gönderilir.
• Soğutmadan çıkan klinker, belli oranlarda alçı taşı ve diğer katkılar eklenerek karıştırılır ve öğütülmek üzere çimento değirmenine yollanır.
• Çimento değirmeninden çıkan ürün, pazarlamak üzere paketlenir.
Eksenel kompresör nedir?
Eksenel kompresör, bir rotor üzerine yerleştirilmiş kanatlar ve bir gövdeden oluşur. Kanatlar emilen havayı hızlandırarak bir kinetik enerji kazandırır. Böylelikle akışkan basınçlandırılmış olur.
Adyabatik Sistem nedir?
Adyabatik Sistem, sistem sınırlarından ısı geçişinin olmadığı sistemlerdir. Bu sistemler gerçekte olmayıp ideal kabul edilen sistemlerdir.
Sistem sürekli akış sürekli açık olarak kabul edildiğinde ne gibi durumlar gözlenir?
Sistem sürekli akışlı sürekli açık (SASA) olarak kabul edildiğinde, kompresöre giren kütlelerin toplamı çıkan kütlerin toplamına eşittir. Sistem sürekli akışlı sürekli açık sistem, kontrol hacmi içerisinde toplam kütlenin zamanla değişimi sıfırdır. Başka bir deyişle sisteme giren kütlenin sistemden çıkan kütleye eşit olduğu sistemlerdir.
Bir kompresöre hava 10 kg/s debiyle girmektedir. Kompresörde giren havanın entalpisi 200 kJ/kg, çıkan havanın entalpisi ise 500 kJ/kg olarak verilmektedir. Bu verilere göre kompresöre verilen iş miktarını hesaplayıp, kompresör için enerji analizi yaparak bu analizi şematik olarak gösteriniz.
![]()
20x200=4000 10000-4000=6000
20x500=10000
Bir kompresöre hava 20 kg/s debiyle girmektedir. Hava için ortalama sıcaklık için ortalama özgül ısı değeri Cp 1,02 kJ/kg.K olarak verilmektedir. Kompresöre giren havanın sıcaklığı 290 K, çıkan havanın sıcaklığı ise 610 K olarak verilmektedir. Bu verilere göre kompresöre verilen iş miktarını hesaplayınız.
![]()
Bir gaz türbinli motorun yanma odasına hava 10 kg/s debiyle girmektedir. Havanın yanma odası girişindeki sıcaklığı 700 K ve yanma sonu ürünlerinin çıkıştaki sıcaklığı ise 1400 K olarak verilmektedir. Yanma odasındaki havanın ortalama sıcaklık için ortalama özgül ısı değeri Cp 1,15 kJ/kg.K olarak verilmektedir Bu verilere göre yanma yakıtın odasına verdiği enerjiyi hesaplayınız.
![]()
10x1.15x(1400-700)=8.050
Bir türbine, yanma odasından çıkan gaz 1200 K sıcaklığında girmektedir. Türbin çıkışındaki gazın sıcaklığı ise 600 K’dir. Türbine giren gazın debisi 15 kg/s olarak verilmektedir. Hava için ortalama sıcaklık için ortalama özgül ısı değeri Cp 1,121 kJ/kg.K olarak verilmektedir. Bu verilere göre türbin için enerji analizi yaparak türbinden alınan işi hesaplayınız.
![]()
İş görmüş gazın tanımı nedir?
İş görmüş gaz, barındırdığı enerjisinin tamamını ya da bir kısmını kaybetmiş, bir başka enerji türüne dönüştürmüş gazdır
Bir gaz türbini çevrimi prensibine göre çalışmakta olan bir güç santralinde, kompresörün birim zamanda 3800 kJ/s iş tükettiği ve türbin tarafından ise birim zamanda 8700 kJ/s iş üretildiği belirlenmiştir. Santralin yanma odasında yakıttan birim zamanda 12250 kJ/s enerji sağlandığı göz önüne alınırsa, bu güç santralinin verimini hesaplayınız.

Bir sistemde dolaşan suyun debisi 30 kg/s’dir. Sistemde suyun dolaşımı bir pompa ile gerçekleştirilmektedir. Suyun pompa girişindeki entalpi değeri 482,49 kJ/kg ve pompa çıkışındaki entalpi değeri ise 724,04 kJ/kg'dır. Bu verilere göre pompaya birim zamanda verilmesi gereken iş ne kadardır?
![]()
Yoğuşturucu için enerjinin korunumu ifadesi nasıl yazılır?

Bir eşanjöre, giren sıcak bir gazın havanın sıcaklığı 700 K, debisi 3,5 kg/s'dir. Bu eşanjöre giren suyun sıcaklığı debisi 1,5 kg/s olup, 300,19 kJ/kg entalpi ile girmekte ve 400,98 kJ/kg eltalpi değerinde çıkmaktadır. Bu verileri göz önünde bulundurup eşanjör için enerji analizi yaparak havanın eşanjörden çıkıştaki entalpisini ve sıcaklığını bulunuz.

Brülör için kütle korunumu yasası kullanılarak kütle dengesi yazılırsa hangi eşitlikler elde edilir?

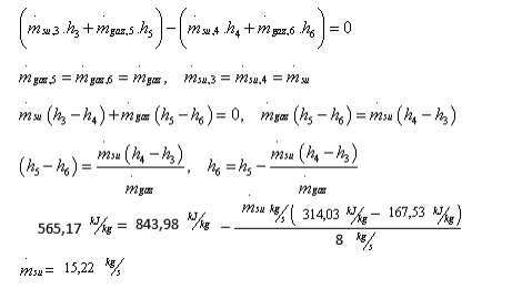
Kurutucu gövdesinde enerji analizi yapmak için termodinamiğin birinci yasası, enerji korunumu ifadesini yazarsak hangi eşitlikleri elde ederiz?

Farin değirmeninde enerji analizi yapmak için termodinamiğin birinci yasası, enerji korunumu ifadesini yazarsak hangi eşitlikleri elde ederiz?
