SENKRON MAKİNALAR
Entrkonnekte sistem nedir?
Günümüzde elektrik enerjisinin modern hayattaki rolü tartışılmazdır. Enerji üretim santrallerinde, sosyal hayatın ve sanayinin ihtiyacı olan elektrik enerjisini senkron generatörler ile üretiriz. Bir ülkedeki bütün enerji üretim santralleri ve bu santrallerde çalışan bütün senkron generatörler paralel olarak çalışırlar. Ülkedeki bütün pasif yükler ile bu yükleri besleyen senkron generatörlerin oluşturduğu sisteme entrkonnekte sistem adı verilir.
Senkton makinaların özellikleri nelerdir?
Senkron makinalar elektromekanik enerji dönüşümü yapan genelleştirilmiş alternatif akım makinalarıdır. Senkron generatörler mekanik enerji elektrik enerjisine, senkron motorlar ise elektrik enerjisini mekanik enerjiye dönüştürürler. Bütün döner elektrik makinalarında olduğu gibi senkron makinalarda da stator veya endüvi olarak adlandırılan bir durgun kısım ile rotor veya kutup tekerleği olarak adlandırılan bir dönen kısımı bulunur. Stator, asenkron makinalarda olduğu gibi, 3 fazlı makina için aralarında 120 elektriksel açı bulunan her faza ait dağıtılmış sargıları içerir. Rotor ise, doğru akım makinalarındaki kutup yapısının aynısına sahip kutup sargılarını taşır. O halde senkron makinalarda kutup sargıları bir doğru akım kaynağı ile beslenecektir. Bu besleme rotor mili üzerine yerleştirilen iki bilezik ve bu bileziklere basan firçalar yolu sağlanır. Uyarılmış kutup sargıları, rotor ile birlikte dönen bir manyetik alan oluşturur. Rotor üzerinde kutup sargıları ile oluşturacağımız alanı sabit mıknatıslar ile de oluşturabiliriz.
Rotoru sargılı makinalar nedir ve kaça ayrılır?
1. Rotoru sargılı makinalar: Rotor üzerinde oluşturulacak uyarma manyetik alanının sargılar yolu ile elde edildiği makinalar. Bu yapı tipi kendi arasında ikiye ayrılır.
a. Çıkık kutuplu senkron makinalar.
b. Yuvarlak rotorlu senkron makinalar.
Sabit mıknatıslı senkron makinalar nelerdir kaça ayrılır?
Sabit mıknatıslı senkron makinalar: Uyarma alanı için rotor üzerinde sabit mıknatısların kullanıldığı makinalardır. Bu makinaların çeşitlerini aşağıdaki sıralayabiliriz:
a. Sabit mıknatıslı senkron motorlar.
b. Adım (step) motorları.
c. Histerezis Motorları.
d. Relüktans Motorları.

Görsel hangi makinanın çalışma şeklini gösterir?

Yuvarlak rotorlu makinada hava aralığında oluşan mmk dağılımı nasıldır?

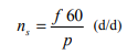
2p kutuplu, stator sargılarına f frekanslı gerilimler uygulanmış bir statorda elde edilen senkron hız (döner alan hızı) hangi formülle hesaplanır?
![]()
Uyarma alanının oluşması için ne gereklidir ve kaç çeşit uyarma şekli vardır?
Uyarma alanının oluşturulması için, rotor tekerleği üzerine yerleştirilmiş kutup sargılarının DA ile beslendiğini belirtmiştik. Uyarma için gerekli güç, makinanın nominal gücünün %2’si ilâ %5’i kadardır. Gerekli olan uyarma gerilimi çeşitli yollardan karşılanabilir. Ağırlıklı olarak orta ve büyük güçlü makinalarda iki tip uyarma şekli vardır.
Fırçasız uyarma sisteminin özellikleri nelerdir?
Bu sistemlerde, rotor mili üzerine monte edilmiş, yani rotor tekerleği ile birlikte dönen bir AA generatorü kullanılır. AA generatöründen elde edilen gerilim yine aynı mil üzerine yerleştirilmiş yarı iletken kontrollü ya da kontrolsüz doğrultucular ile doğrultulup doğrudan kutup sargılarına uygulanır. Doğrultucular mil üzerine monte edilmiş olduklarından, elde edilen gerilimin, herhangi bir fırça-bilezik sistemine ihtiyaç uyulmadan, doğrudan kuutp sargılarına uygulanması sözkonusudur. Fırça-bilezik sisteminin ortadan kaldırılmış olması, bu sistemlerden kaynakalanacak arıza ve bakım maliyetlerinin azaltılması anlamındadır.
Fırçalı (Statik) Uyarma Sisteminin özellikleri nelerdir?
Uyarma için gerekli olan DA bu sistemlerde bir kontrollü güç elektroniği doğrultucusundan elde edilir. Elede edilen gerilim, mil üzerine yerleştirilmiş fırça-bilezik sistemi ile kutup sargılarına uygulanır. Uyarma gücünün düşük olması sebebi ile, senkron generatörden elde edilen gerilim, uyarma trafosu adı verilen bir trafo ile uygun gerilim değerine düşürüldükten sonra doğrultulup sargılara uygulanır. Kendinden uyarma sistemlerinde ilk yol verme anında uyarmayı sağlamak üzere bir akü gurubu bulunur.

SSağdaki ve soldaki resimler neye aittir?


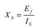
Görseldeki devredeki büyüklükleri tanımlayınız.
Ef : Statorun bir fazında endüklenen gerilim.
IS : Stator akımı.
RS : Stator bir faz direnci.
XS : Stator bir faz reaktansı.
V : Uç gerilimi. ![]()
Omik çalışmada makinanın kutup sargılarındaki uyarma akımı değerini normal uyarma akımı olarak tanımlarsak, aynı uç gerilimini elde etmek için endüktif ve kapasitif urumlarda endükelenen gerilim değerlerinin özellikleri nelerdir?
1. Endüktif yüklü generatör: Gerilim fazör diyagramına göre, Ef, V’den büyüktür. O halde endüklediğimiz gerilimi uç geriliminden büyük olacak şekilde uyarma akımını ayarlamalıyız. Bu durumda generatör aşırı uyaramada çalışıyor denir.
2. Kapasitif yüklü generatör: Ef, V’den küçüktür. Endükelenen gerilim değeri uç geriliminden küçüktür. Bunu sağlayabilmek için uyarma akımı normal uyaram değerinden küçük olmalıdır. Bu durumda generatör zayıf uyaramada çalışıyor denir.
3. Endüktif yüklü motor: Motor çalışmaya ait fazör diyagramlarından endüktif yüklü çalışmaya karşılık gelen fazör diyagramına bakalım. Motorda endüklenen zıt emk değeri Ef, V’den küçüktür. Bu durum makinaya fazla uyarma yapmadığımız anlamına gelir. Yani motor zayıf uyarma ile çalıştırılırsa, bağlı olduğu şebekeden reaktif güç alacaktır. Bu çalışma bir bobine eşdeğerdir.
4. Kapasitif yüklü motor: Kapasitif çalışmada ise durum endüktif çalışmanın tersidir. Motor aşırı uyarmada çalıştırılır ise, bağlı olduğu şebekeye reaktif güç verecektir. Bu çalışma bir kondansatöre eşdeğerdir
Eşdeğer devreler için Kirchoff gerilim kanununa göre hangi eşitlikler yazılabilir?

Generatör ve motor çalışmalalarda, uyarmanın durumuna göre güç akışları nasıl olur?

Bir senkron makinanın eşdeğer devre parametrelerinin (stator bir faz direnç ve reaktansının) belirlenmesi için hangi adımlar izlenmelidir?
1. Boşta Çalışma Deneyi: Senkron generatör, senkron devir sayısı ile tahrik edilir. Uyarma akımı sıfırdan itibaren adımsal olarak arttırılıp, her adımda uç gerilimi ölçülür.
2. Kısa Devre Deneyi: Senkron generatör yine senkron devir saysında tahrik edilir. Stator sargı uçları kısa devre edilerek uyarma akımı sıfırdan adımsal olarak arttırılarak stator akımları kaydedilir.
380 V, 50 Hz etiket değerlerine sahip, statoru Y bağlı bir senkron generatörün nominal uyarma akımı 5 A’dir. Nominal uyarma akımı için, boşta çalışma karakteristiğinden endüklenen gerilim 400 V/faz, kısa devre karakteristiğinden stator akımı 385 A okunmuştur. Stator bir faz reaktans değerini hesaplayınız.


Senkron generatörde endüklenen iç güç değeri hangi eşitlik ile tanımlanır?
![]()
Tek başına çalışmada generatörün davranışını özetleyiniz.
Tek başına çalışmada generatörün davranışı şu şekilde özetlenebilir:
1. Generatörümüz üzerindeki iki kontrolümüz olan uyarma akımı ve mekanik giriş gücü değerlerimiz yüke bağlıdır. Uç gerilimini ve frekansı nominal değerlerinde tutabilmek için, yükün durumuna göre uyarma akımı ve mekanik giriş güç değerleri ayarlanır.
2. Endüktif yüklü bir generatörün uç geriliminde belirgin bir düşme olur.
3. Omik yüklerde de uç geriliminde bir miktar gerilim düşümü görülür.
4. Kapasitif yüklerde ise belli bir güç açısına kadar gerilim düşümü oluşur. Belli bir kapasitif yüke ait güç açısında uç gerilimi ile endükelenen gerilim birbirine eşit olur. Bu açıdan sonra ise uç geriliminde artış oluşur.
Senkron generatörlerin paralel çalıştırılmasının avantajları nelerdir?
Senkron generatörlerin paralel çalıştırılmasının pek çok avantajı vardır. Bunları şu şekilde sıralanabilir:
1. Paralel çalışan generatörler, bir generatörün besleyebileceğinden daha fazla yükü besleyebilirier.
2. Paralel çalışan generatörler, oluşturdukları sistemin güvenirlilğini ve emniyetini arttırır. Bir generatörün arızalanması, sistemin beslenmesinde kesinti oluşmasına sebep olmaz.
3. Sistemde pek çok generatörün bulunması, bir veya birkaçının arıza veya bakım sebebi ile devre dışı bırakılmasına imkân verir.
4. Enterkonnekte sistem için tek bir generatör ile besleme yapılsa idi, bu generatörün sürekli olarak tam yükte çalışması sözkonusu olurdu. Birden fazla generatörün ortak yükü paylaşmaları, bunların sürekli olarak tam yükte çalışma şartını ortadan kaldıracağından verimleri daha yüksek olacaktır.
Paralel bağlama şartları nelerdir?
1. Paralel bağlanacak generatörlerin uç gerilimleri eşit olmalıdır. Uç gerilimleri eşitlenmeden paralel bağlama gerçekleştirilecek olursa, paralel bağlanan generatörün, paralel bağlama gerçekleştiğinde üzerine reaktif güç almasına sebep olur. Bu ise ani yüklenme sonucunu doğurur.
2. Generatörlerin faz sırası aynı olmalıdır. Başka bir deyişle faz sıralarının gösterdikleri dönüş yönleri aynı olmalıdır. Aksi takdirde kısa devre meydana gelecektir. Paralel bağlamada en çok dikkat edilmesi gereken şart budur.
3. Paralel bağlama esnasında fazlar arasında faz farkı olmamalıdır. Paralel bağlama mümkün olduğunca her iki sistemin fazları arasında faz farkı sıfırken yapılmalıdır.
4. Generatörlerin frekansları eşit olmalıdır. Paralel bağlanacak generatörün frekansı bir miktar sistemin frekansından büyük dahi olabilir. Frekanlar arasında büyük fark olursa, paralel bağlanan generatör ani olarak üzerine aktif güç alabilir veya motor çalışmaya geçebilir.