MANYETİK MALZEMELER VE MANYETİK DEVRELER
Manyetik alanlarla ilgili hangi temel kanunlar bulunmaktadır?
Manyetik alanlar ve bu alanlarla ilgili kanunlar ve kavramlar, elektrik makinalarının çalışma prensiplerinin temelini oluşturur. İki temel kanundan birincisi Biot-Savart Kanunu, ikincisi ise Amper Kanunu’dur. Elektromekanik enerji dönüşümü yapan bütün elektrik makinalarının ve transformatörlerin çalışma prensipleri, bu iki kanun ve diğer elektromanyetik kanunlar ile kolayca açıklanır.
Manyetik devrenin tanımı nedir ve en temel manyetik devreyi neler meydana getirir?
Makinalar için gerekli manyetik alanı oluşturduğumuz devreye manyetik devre ismini veririz. En basit temel manyetik devre, manyetik alana ait kuvvet (akı) çizgilerini taşıyan ve ferromanyetik (demir özlü veya çelik) bir malzemeden imâl edilen nüve ile manyetik alan kaynağı olan sargı’dan meydana gelir. Elektrik makinalarından elde edilecek güç, makinada oluşturulan manyetik alanın değeri ile doğru orantılıdır.
Domen nedir?
Malzeme üzerinde oluşan küçücük mıknatıslardan aynı yöne yönlenenlerin oluşturduğu bölümlere domen adı verilir.
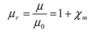
Manyetik akı yoğunluğu, manyetik geçirgenlik değeri ve manyetik alınganlık ölçütü nedir?
Malzemeye uygulanan H manyetik alan şiddetine karşılık malzeme içersinde manyetik akı yoğunluğu değeri elde edilir. Oluşan manyetik akı yoğunluğunun genliğini, malzemenin manyetik geçirgenlik değeri ile mıknatıslanma ölçütü olarak tanımlayabileceğimiz manyetik alınganlık değeri belirler.
Göreceli manyetik geçirgenlik değeri nedir nasıl hesaplanır?
Malzemelere ait göreceli manyetik geçirgenlik değeri ise, manyetik geçirgenlik değerinin boşluğun geçirgenlik değerine oranı olarak tanımlanır ve aşağıdaki gibi yazılır.

Dimanyetik malzemeler nedir ve özellikleri nelerdir?
Diamanyetik malzemeler, uygulanan kuvvetli bir manyetik alan şiddetine karşılık çok zayıf ve negatif değerlikli manyetik alınganlık değeri gösterirler. Negatif değerlikli alınganlık göstermesi, manyetik alan tarafından hafifçe itilecekleri anlamını taşır. Uygulanan alan kaldırıldıktan sonra kalıcı bir mıknatısiyet barındırmazlar. Periyodik tablodaki altın, gümüş, bakır, civa, bizmut ve karbon grafit gibi pekçok element diamanyetiktir. Bu malzemelerin yanında, su, tahta ve canlı doku da diamanyetik malzemeler kategorisindedir
Paramanyetik malzemeler nedir ve özellikleri nelerdir?
Paramanyetik malzemeler manyetik alan tarafından zayıfça çekilirler ve küçük miktarda pozitif değerli manyetik alınganlık gösteririler. Bu malzemeler sıcaklığa karşı oldukça duyarlıdırlar. Alüminyum, uranyum ve pilatinyum gibi paramanyetik mazlemelerin düşük sıcaklıklarda mıknatıslanmaları artar. Diğer paramanyetik malzemelere örnek olarak magnezyum, titanyum, tungsten, molibden ve lityum sayılabilir.
Ferromanyetik malzemeler nedir ve özellikleri nelerdir?
İsminden anlaşılacağı üzere ağırlıklı olarak demir veya demir özlü malzemeler olarak bilinmesine karşılık, nikel ve kobalt gibi malzemeler de ferromanyetik malzemelerdir. Kendi aralarında yumuşak ve sert olarak da sınıflandırılırlar. Demir gibi yumuşak malzemeleri mıknatıslamak kolay iken, nikel ve kobalt gibi malzemeler zor mıknatıslanırlar. Ancak tersine demir kalıcı mıknatısiyetini yitirme eğiliminde iken, diğerleri mıknatısiyetlerini koruma eğilimindedirler. Aynı zamanda bu malzemeler sabit mıknatısların fabrika ortamında yapay olarak elde edilmesinde de kullanılırlar.
Manyetik malzemelerin karakteristiklerini özetleyiniz.

Diamanyetik ve paramanyetik malzemeler için mıknatıslanma karakteristikleri nasıldır?
Diamanyetik malzemelerin mıknatıslanma karakteristikleri, uygulanan alan yönünün tersi yönde mıknatıslanmaları sebebiyle, paramanyetik malzemeler için verilen karakteristiğin tersidir.
En basit manyetik devrenin oluşması için ne gereklidir?
En basit manyetik devre, kapalı devre oluşturan ve ferromanyetik malzemeden imâl edilen bir nüve ile bu nüve üzerine sarılmış N sarımlı, I akımı taşıyan bir sargıdan oluşur.
Elektriksel büyüklükle manyetik büyüklüğü karşılaştırınız.

Şekilde verilen manyetik devrenin ortalama akı yolunun uzunluğunu hesaplayınız. Ölçüler cm olarak verilmiştir.

Toplam yol için iki genişliğe ait, iki de yüksekliğe ait uzunluğu toplayarak hesabımızı tamamlarız:![]()
Çok gözlü manyetik devrelerin özellikleri nelerdir?
Bazı manyetik devrelerde birden fazla pencere ve birden fazla sargı olabilir. Bu durum çok gözlü ve birden fazla gerilim kaynağının bulunduğu bir elektrik devresine karşılık gelir. Elektrik devrelerinde çok gözlü devrelere uygulanan çözüm yöntemleri, manyetik devrelere de uygulanabilir.
Hava aralıklı manyetik devrelerin özellikleri nelerdir?
Elektrik makinalarında stator veya kutuplar ile rotor veya endüvi arasında bir hava aralığı bırakılmak zorundadır. Aynı şekilde röle, kontaktör ve solenoid valflerde hareketli parça ile kutup göbeği arasında bir hava aralığı bulunur.

Görselde hangi tür bir devre resmedilmiştir?

Sabit mıknatıslı manyetik devreler nerede kullanılır?
Sabit mıknatıslar günümüzde motor ve generatörlerde alan kaynağı olarak yaygın bir şekilde kullanılmaktadır. Fırçasız doğru akım motorları ve sabit mıknatıslı senkron motorlar bunlara örnek olarak verilebilir.
Endüktör nedir?
Endüktör (bobin) manyetik alanında enerji depo eden elaman olarak tanımlanır. Elektrik lanında enerji depo eden kondansatöre karşılıktır. Solenoid ve toroid özel endüktör yapılarıdır.
Silindirik yapıdaki dik kesiti A olan solenoidin için akı halkası formülü nasıl yazılır?
![]()
2000 sarımlı, 500 mm uzunluğunda, 40 mm çaplı solenoid, kağıt bir tüp üzerine sarılmıştır. Solenoidin endüktansını hesaplayınız.
