aofsorular.com
EİD184U

DOĞRU AKIM RC DEVRESİ

5. Ünite 20 Soru
S

Kondansatör nedir?

Kondansatörler, enerji depolamada kullanılan, iki iletken paralel levha arasına bir yalıtkan madde (dielektrik) konularak yapılmış bir pasif devre elemanıdır. 

S

Kondansatörler hangi geometrik şekillerde üretilir?

Kondansatörler farklı geometrik şekillerde tasarlanabilirler. Paralel levhalı kondansatörler, küresel kondansatörler ve silindirik kondansatörler olmak üzere üç farklı şekilde üretilir. 

S

Kondansatörün boşalması (deşarj olması) nasıl gerçekleşir?

Levhaları (+) ve (-) yükler ile dolan kondansatör bir direnç yardımıyla veya kondansatörün iki ucu bir iletken tel ile kısa devre edilerek yüklerin boşalmasına
kondansatörün boşalması (deşarj olması) denir.

S

Belirli bir V voltajında, bir kondansatörün levhaları üzerinde ne kadar yük bulunabileceğini, bir diğer ifadeyle V potansiyelinde kondansatörde depolanan yük miktarını belirleyen niceliğe ne ad verilir?

Belirli bir V voltajında, bir kondansatörün levhaları üzerinde ne kadar yük bulunabileceğini, bir diğer ifadeyle V potansiyelinde kondansatörde depolanan yük miktarını belirleyen niceliğe sığa (veya kapasitans) adı verilir?

S

Sığanın birimi SI ölçüm sisteminde nasıl adlandırılır?

Sığanın birimi SI ölçüm sisteminde farad (F)'dır. 

S

Bir kondansatör ve bir direncin seri bağlanması ile oluşan devreye ne ad verilir?

Bir kondansatör ve bir direncin seri bağlanması ile oluşan devreye RC devresi denir.

S

Uygulamada kullanılan farad'ın altkatları nelerdir?

Uygulamada genellikle milifarad (mF), mikrofarad (μF) ve pikofarad (pF) gibi farad’ ın altkatları kullanılır.

S

1 mF kaç farad (F) olarak ifade edilir?

1 mF = 1.10-3  F olarak ifade edilir. 

S

1 μF kaç farad (F) olarak ifade edilir?

1 μF =1.10-6 F olarak ifade edilir. 

S

1 pF kaç farad (F) olarak ifade edilir.

1 pF =1.10-12 F olarak ifade edilir.

S

 Bir kondansatörün sığasını hesaplamak için hangi faktörlerin bilinmesi gerekmektedir?

Bir kondansatörün sığasını hesaplamak için yük miktarının büyüklüğünü ve levhalar arasındaki potansiyel farkı (voltajı) bilmemiz gerekir.

S

Enerjinin SI ölçüm sisteminde birimi nedir?

Enerjinin SI ölçüm sisteminde birimi joule (j)' dür.

S

Eğer bir kondansatöre üzerinde yazılı olan maksimum çalışma geriliminden yüksek bir gerilim uygulanırsa nasıl bir sonuç ortaya çıkar?

Eğer bir kondansatöre üzerinde yazılı olan maksimum çalışma geriliminden yüksek bir gerilim uygulanırsa, kondansatör özelliğini kaybeder ve kısa devre gibi davranır.

S

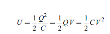
Yüklü bir kondansatörün U potansiyel enerjisi farklı biçimlerde hangi formüllerle verilir?

Yüklü bir kondansatörün U potansiyel enerjisi farklı biçimlerde verilebilir:

 

S

Kondansatörler dc devrelerde hangi amaçla kullanılır?

Kondansatörler dc devrelerde enerji depolamak amacı ile kullanılır.

S

Kondansatörler hangi özelliklerinden dolayı güç kaynağının çeşitli sebeplerden dolayı devre dışı kalacağı durumlarda ve ani yük akışına ihtiyaç olan durumlarda kullanılabilirler?

Kondansatörler hem enerji depolama hem de yükü aniden devreye sokma özelliklerinden dolayı güç kaynağının çeşitli sebeplerden dolayı devre dışı kalacağı durumlarda ve ani yük akışına ihtiyaç olan durumlarda kullanılabilirler.

S

Elektroşok cihazı tam olarak yüklendiğinde, büyük bir kondansatörün elektrik alanı içinde ne kadar bir enerji depolar?

Elektroşok cihazı tam olarak yüklendiğinde, büyük bir kondansatörün elektrik alanı içinde 360 J kadar bir enerji depolar.

S

Kararlı bir RC devresinde kondansatör hangi görevi görür?

Kararlı bir RC devresinde kondansatör açık bir devre anahtarı görevi yapar.

S

Kondansatörler hangi özelliği sebebi ile elektrik motorları, makine ve bilgisayar devrelerinin kontrol mekanizmalarında kullanılmaktadır?

Kondansatörler bulundukları devredeki akımı zamana bağlı duruma getirmesi sebebi ile elektrik motorları, makine ve bilgisayar devrelerinin kontrol mekanizmalarında kullanılmaktadır.

S

Kondansatörde depolanan yük miktarı maksimuma ulaştığında devreden geçen akım değeri kaç olur?

Kondansatörde depolanan maksimum yük miktarı güç kaynağından uygulanan voltaj değerine bağlıdır. Maksimum yüke ulaşıldığında devreden geçen akım değeri sıfır olur.