Türev ve İntegral Uygulamaları
Türev kavramını açıklayınız ?
Türev, fiziksel olarak bir büyüklüğün anlık değişimini karakterize eder.
Temel türev alma kurallarını yazınız.

"y=7x" fonksiyonun türevini bulunuz.
y'=7
(cotu)' fonksiyonun türevi nasıl alınmaktadır?

Yüksek basamaktan türevler için "leibniz formülü" ünü açıklayınız.

Limit konusunda belirsizlik olduğu zaman limitlerin hesaplanmasında hangi kural kullanılmaktadır?
L’Hospital kuralı
L’Hospital kuralı genellikle hangi durumlarda uygulanır?
durumları için uygulanmaktadır.
Artan fonksiyonu açıklayınız.
(i) f'(x)< 0 ise fonksiyon azalandır, yani x değerleri arttıkca karşı gelen f değerleri azalıyor, x değerleri arttıkça karşı gelen f değerleri de artıyorsa f fonksiyonuna artan fonksiyon denir.
Fonksiyonun ekstremum değere sahip olduğu noktaya ne ad verilir?
Kritik nokta denmektedir.
Bir Ekstremum noktasından fonksiyon eğrisine çizilen teğet doğrunun X eksenine göre durumu nedir?
Bir Ekstremum noktasından fonksiyon eğrisine çizilen teğet doğru her zaman X eksenine paraleldir (eğim sıfır olduğundan).
Türev uygulamalarında Fermat Teoremini açıklayınız?
Fermat Teoremi: [a,b] aralığında tanımlı f(x) fonksiyonunun x0 ∈(a,b) noktasında türevi varsa ve f'(x0)=0 ise, bu noktada fonksiyon minimum veya maksimum değerini alıyor.
Türev uygulamalarında Roll Teoremini açıklayınız?
f(x) fonksiyonu [a,b] aralığında sürekli ve (a,b) aralığında türevlenebilir bir fonksiyon olsun. Eğer fonksiyonun aralığın uç noktalarındaki değerleri bir birine eşit ise, f(a)=f(b), o zaman (a,b) aralığında f'(c)= 0 olacak şekilde bir c ∈(a,b) noktası vardır.
Dışbükey fonksiyonu açıklayınız.
Eğer bir aralıkta tanımlı bir fonksiyon grafiğinin herhangi iki noktasını birleştiren doğru parçası, bu noktalar arasındaki grafik parçasının üzerinde kalıyorsa fonksiyona dışbükey denir.
İçbükey fonksiyonu açıklayınız.
Eğer bir aralıkta tanımlı bir fonksiyon grafiğinin herhangi iki noktasını birleştiren doğru parçası, bu noktalar arasındaki grafik parçasının altında kalıyorsa fonksiyona içbükey denir.
Belirsiz integral nedir?
Bir fonksiyonu bilinen değerlerinden birinden ve türevi f(x) den bulma işlemi, türevi f olabilecek bütün fonksiyonları veren bir formülün bulunmasıdır. Bu fonksiyonlar, f in ters türevleri denen fonksiyonlardır ve bunların hepsini veren formüle belirsiz integral denir.
Belirsiz integralin özellikleri nelerdir?
- Belirsiz integralin diferansiyeli integralaltı ifadeye, türevi ise integralaltı fonksiyona eşittir.
- Sürekli diferansiyellenen fonksiyonun diferansiyelinin integrali, bu fonksiyonun kendisi artı bir sabite eşittir.
- ∫ ve d işaretleri matematiksel olarak bir birinin tersidir, yan yana geldiklerinde bir birini yok ederler.
- A≠ 0 bir sabit iken, integral işaretinin içine alınabilir ve/veya dışına çıkarılabilir.
- Sürekli fonksiyonların toplamının integrali, onların integraller toplamına eşittir.
İntegralleme yöntemlerini yazınız.
İntegralleme yöntemleri arasında; değişken değiştirme yöntemi, trigonometrik değişken değiştirilmesi yöntemi, kısmi integralleme yöntemi ve basit kesirlere ayırma yöntemi yer almaktadır.
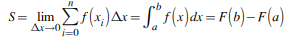
İntegral hesabın temel teoremlerinden 1. temel teoremi açıklayınız.
1.Temel Teorem: Eğer f(x) fonksiyonu [a,b] aralığında tanımlı, pozitif, sürekli ise bu fonksiyon eğrisi ile X ekseni arasında kalan alan
ile hesaplanır.
İntegral hesabın temel teoremlerinden 2. temel teoremi açıklayınız.
- Üst sınırı değişken olan belirli integralin, bu sınıra göre türevi integralaltı fonksiyona eşittir.
- Alt sınırı değişken olan belirli integralin, bu sınıra göre türevi ters işaretle integralaltı fonksiyona eşittir.
Belirli integrallerde integral alma yöntemleri nelerdir?
Belirli integrallerde integral alma yöntemleri; değişken değiştirme yöntemi ve kısmi integralleme yöntemi olarak ifade edilir.