aofsorular.com
CBS115U

COĞRAFİ BİLGİ SİSTEMLERİ İÇİN TEMEL MATEMATİK

2016-2017 Ara Sınav TQY-1-5
Soru 1
Soru 1
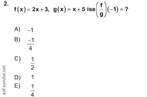
Soru 2
Soru 2
Soru 3
Soru 3
Soru 4
Soru 4
Soru 5
Soru 5
Soru 6
Soru 6
Soru 7
Soru 7
Soru 8
Soru 8
Soru 9
Soru 9
Soru 10
Soru 10
Soru 11
Soru 11
Soru 12
Soru 12
Soru 13
Soru 13
Soru 14
Soru 14
Soru 15
Soru 15
Soru 16
Soru 16
Soru 17
Soru 17
Soru 18
Soru 18
Soru 19
Soru 19
Soru 20
Soru 20